2-Pyridone (data page)
This page provides supplementary chemical data on 2-pyridone.
Analytical data
NMR spectroscopy

1H-NMR
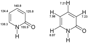
1H-NMR (400 MHz, CD3OD): /ρ = 8.07 (dd,3J = 2.5 Hz,4J = 1.1 Hz, 1H, C-6), 7.98 (dd,3J = 4.0 Hz,3J = 2.0 Hz, 1H, C-3), 7.23 (dd,3J = 2.5 Hz,3J = 2.0 Hz, 1H, C-5), 7.21 (dd,3J = 4.0 Hz,4J = 1.0 Hz, 1H, C-4).
13C-NMR
(100.57 MHz, CD3OD): ρ = 155.9 (C-2), 140.8 (C-4), 138.3 (C-6), 125.8 (C-3), 124.4 (C-5)
UV/Vis spectroscopy
(MeOH):νmax (lg ε) = 226.2 (0.44), 297.6 (0.30).
IR spectroscopy
(KBr): ν = 3440 cm−1–1 (br, m), 3119 (m), 3072 (m), 2986 (m), 1682 (s), 1649 (vs), 1609 (vs), 1578 (vs), 1540 (s), 1456 (m), 1433 (m), 1364 (w), 1243 (m), 1156 (m), 1098 (m), 983 (m), 926 (w), 781 (s), 730 (w), 612 (w), 560 (w), 554 (w), 526 (m), 476 (m), 451 (w).
Mass spectrometry
EI-MS (70 eV): m/z (%) = 95 (100) [M+], 67 (35) [M+ - CO], 51 (4)[C4H3+].
References
- Cox, R. H.; Bothner-By, A. A. (1969). "Proton magnetic resonance spectra of tautomeric substituted pyridines and their conjugate acids". The Journal of Physical Chemistry. 73 (8): 2465. doi:10.1021/j100842a001.
- DW Aksnes (1972). "Substituent and solvent effects in the proton magnetic resonance (PMR) spectra of six 2-substituted pyridines" (PDF). Acta Chemica Scandinavica. 26: 2255–2266. doi:10.3891/acta.chem.scand.26-2255.
- Brügel, W. (1962). "Die Kernresonanzspektren von Pyridin-Derivaten". Zeitschrift für Elektrochemie, Berichte der Bunsengesellschaft für physikalische Chemie. 66 (2): 159–177. doi:10.1002/bbpc.19620660211.
- Roberts, J. D.; Von Ostwalden, P. W. (1971). "Nuclear magnetic resonance specroscopy. Proton spectra of 2-pyridones". The Journal of Organic Chemistry. 36 (24): 3792. doi:10.1021/jo00823a029.
This article is issued from Wikipedia - version of the 8/29/2015. The text is available under the Creative Commons Attribution/Share Alike but additional terms may apply for the media files.