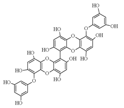
6,6'-Bieckol
| | |
| Names | |
|---|---|
| IUPAC name
4-(3,5-dihydroxyphenoxy)-9-[6-(3,5-dihydroxyphenoxy)-2,4,7,9-tetrahydroxydibenzo-p-dioxin-1-yl]dibenzo-p-dioxin-1,3,6,8-tetrol | |
| Identifiers | |
| 88095-81-2 | |
| 3D model (Jmol) | Interactive image |
| ChemSpider | 121062 |
| PubChem | 137388 |
| |
| |
| Properties | |
| C36H22O18 | |
| Molar mass | 742.55 g/mol |
| Except where otherwise noted, data are given for materials in their standard state (at 25 °C [77 °F], 100 kPa). | |
| Infobox references | |
6,6'-Bieckol is an eckol-type phlorotannin found in the brown algae Ecklonia cava[1] and Ecklonia stolonifera.[2]
References
- ↑ Artan, M.; Li, Y.; Karadeniz, F.; Lee, S. H.; Kim, M. M.; Kim, S. K. (2008). "Anti-HIV-1 activity of phloroglucinol derivative, 6,6′-bieckol, from Ecklonia cava". Bioorganic & Medicinal Chemistry. 16 (17): 7921–7926. doi:10.1016/j.bmc.2008.07.078. PMID 18693022.
- ↑ Lee, M. S.; Shin, T.; Utsuki, T.; Choi, J. S.; Byun, D. S.; Kim, H. R. (2012). "Isolation and Identification of Phlorotannins from Ecklonia stolonifera with Antioxidant and Hepatoprotective Properties in Tacrine-Treated HepG2 Cells". Journal of Agricultural and Food Chemistry. 60 (21): 5340–5349. doi:10.1021/jf300157w. PMID 22587607.
This article is issued from Wikipedia - version of the 8/29/2015. The text is available under the Creative Commons Attribution/Share Alike but additional terms may apply for the media files.