ATS theorem
In mathematics, the ATS theorem is the theorem on the approximation of a trigonometric sum by a shorter one. The application of the ATS theorem in certain problems of mathematical and theoretical physics can be very helpful.
History of the problem
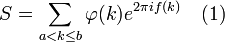
In some fields of mathematics and mathematical physics, sums of the form
are under study.
Here
and
are real valued functions of a real
argument, and
Such sums appear, for example, in number theory in the analysis of the
Riemann zeta function, in the solution of problems connected with
integer points in the domains on plane and in space, in the study of the
Fourier series, and in the solution of such differential equations as the wave equation, the potential equation, the heat conductivity equation.
The problem of approximation of the series (1) by a suitable function was studied already by Euler and Poisson.
We shall define
the length of the sum
to be the number
(for the integers
and
this is the number of the summands in
).
Under certain conditions on
and
the sum
can be
substituted with good accuracy by another sum 
where the length
is far less than 
First relations of the form
where
are the sums (1) and (2) respectively,
is
a remainder term, with concrete functions
and
were obtained by G. H. Hardy and J. E. Littlewood,[1][2][3]
when they
deduced approximate functional equation for the Riemann zeta function
and by I. M. Vinogradov,[4] in the study of
the amounts of integer points in the domains on plane.
In general form the theorem
was proved by J. Van der Corput,[5][6] (on the recent
results connected with the Van der Corput theorem one can read at
[7]).
In every one of the above-mentioned works,
some restrictions on the functions
and
were imposed. With
convenient (for applications) restrictions on
and
the theorem was proved by A. A. Karatsuba in [8] (see also,[9][10]).
Certain notations
[1]. For
or
the record
means that there are the constants
and
such that
[2]. For a real number
the record
means that
where
is the fractional part of 
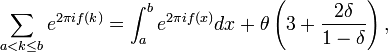
ATS theorem
Let the real functions ƒ(x) and
satisfy on the segment [a, b] the following conditions:
1)
and
are continuous;
2) there exist numbers
and
such that
- and
Then, if we define the numbers
from the equation
we have
where

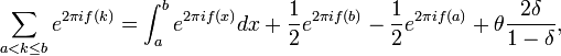
The most simple variant of the formulated theorem is the statement, which is called in the literature the Van der Corput lemma.
Van der Corput lemma
Let
be a real differentiable function in the interval
moreover, inside of this interval, its derivative
is a monotonic and a sign-preserving function, and for the constant
such that
satisfies the inequality
Then
where 
Remark
If the parameters
and
are integers, then it is possible to substitute the last relation by the following ones:
where 
On the applications of ATS to the problems of physics see,;[11][12] see also,.[13][14]
Notes
- ↑ G.~H. Hardy and J.~E. Littlewood. The trigonometrical series associated with the elliptic $\theta$-functions. Acta Math. 37, pp. 193—239 (1914).
- ↑ G.~H. Hardy and J.~E. Littlewood. Contributions to the theory of Riemann Zeta-Function and the theory of the distribution of primes. Acta Math. 41, pp. 119—196 (1918).
- ↑ G.~H. Hardy and J.~E. Littlewood. The zeros of Riemann's zeta-function on the critical line, Math. Z., 10, pp. 283–317 (1921).
- ↑ I.~M. Vinogradov. On the average value of the number of classes of purely root form of the negative determinant Communic. of Khar. Math. Soc., 16, 10–38 (1917).
- ↑ J.~G. Van der Corput. Zahlentheoretische Abschätzungen. Math. Ann. 84, pp. 53–79 (1921).
- ↑ J.~G. Van der Corput. Verschärfung der Abschätzung beim Teilerproblem. Math. Ann., 87, pp. 39–65 (1922).
- ↑ H.~L. Montgomery. Ten Lectures on the Interface Between Analytic Number Theory and Harmonic Analysis, Am. Math. Soc., 1994.
- ↑ A.~A. Karatsuba. Approximation of exponential sums by shorter ones. Proc. Indian. Acad. Sci. (Math. Sci.) 97: 1–3, pp. 167—178 (1987).
- ↑ A.~A. Karatsuba, S. M. Voronin. The Riemann Zeta-Function. (W. de Gruyter, Verlag: Berlin, 1992).
- ↑ A.~A. Karatsuba, M. A. Korolev. The theorem on the approximation of a trigonometric sum by a shorter one. Izv. Ross. Akad. Nauk, Ser. Mat. 71:3, pp. 63—84 (2007).
- ↑ E.~A. Karatsuba. Approximation of sums of oscillating summands in certain physical problems. JMP 45:11, pp. 4310—4321 (2004).
- ↑ E.~A. Karatsuba. On an approach to the study of the Jaynes–Cummings sum in quantum optics, Numerical Algorithms, Vol. 45, No. 1–4 , pp. 127–137 (2007).
- ↑ E. Chassande-Mottin, A. Pai. Best chirplet chain: near-optimal detection of gravitational wave chirps. Phys. Rev. D 73:4, 042003, pp. 1—23 (2006).
- ↑ M. Fleischhauer, W.~P. Schleich. Revivals made simple: Poisson summation formula as a key to the revivals in the Jaynes-Cummings model. Phys. Rev. A 47:3, pp. 4258—4269 (1993).















