Absolute presentation of a group
In mathematics, one method of defining a group is by an absolute presentation.[1]
Recall that to define a group
by means of a presentation, one specifies a set
of generators so that every element of the group can be written as a product of some of these generators, and a set
of relations among those generators. In symbols:
Informally
is the group generated by the set
such that
for all
. But here there is a tacit assumption that
is the "freest" such group as clearly the relations are satisfied in any homomorphic image of
. One way of being able to eliminate this tacit assumption is by specifying that certain words in
should not be equal to
That is we specify a set
, called the set of irrelations, such that
for all
.
Formal Definition
To define an absolute presentation of a group
one specifies a set
of generators, a set
of relations among those generators and a set
of irrelations among those
generators. We then say
has absolute presentation
provided that:
-
has presentation 
- Given any homomorphism
such that the irrelations
are satisfied in
,
is isomorphic to
.
A more algebraic, but equivalent, way of stating condition 2 is:
- 2a. if
is a non-trivial normal subgroup of
then 
Remark: The concept of an absolute presentation has been fruitful in fields such as algebraically closed groups and the Grigorchuk topology. In the literature, in a context where absolute presentations are being discussed, a presentation (in the usual sense of the word) is sometimes referred to as a relative presentation. The term seems rather strange as one may well ask "relative to what?" and the only justification seems to be that relative is habitually used as an antonym to absolute.
Example
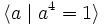
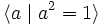
The cyclic group of order 8 has the presentation
But, up to isomorphism there are three more groups that "satisfy" the relation
namely:

and
However none of these satisfy the irrelation
. So an absolute presentation for the cyclic group of order 8 is:
It is part of the definition of an absolute presentation that the irrelations are not satisfied in any proper homomorphic image of the group. Therefore:
Is not an absolute presentation for the cyclic group of order 8 because the irrelation
is satisfied in the cyclic group of order 4.
Background
The notion of an absolute presentation arises from Bernhard Neumann's study of the isomorphism problem for algebraically closed groups.[1]
A common strategy for considering whether two groups
and
are isomorphic is to consider whether a presentation for one might be transformed into a presentation for the other. However algebraically closed groups are neither finitely generated nor recursively presented and so it is impossible to compare their presentations. Neumann considered the following alternative strategy:
Suppose we know that a group
with finite presentation
can be embedded in the algebraically closed group
then given another algebraically closed group
, we can ask "Can
be embedded in
?"
It soon becomes apparent that a presentation for a group does not contain enough information to make this decision for while there may be a homomorphism
, this homomorphism need not be an embedding. What is needed is a specification for
that "forces" any homomorphism preserving that specification to be an embedding. An absolute presentation does precisely this.
References
- ↑ 1.0 1.1 B. Neumann, The isomorphism problem for algebraically closed groups, in: Word Problems, Decision Problems, and the Burnside Problem in Group Theory, Amsterdam-London (1973), pp. 553–562.




