Acyl azide

A general acyl azide
Acyl azides are carboxylic acid derivatives with the general formula RCON3.
Preparation
Alkyl or aryl acyl chlorides react with sodium azide to give acyl azides.[1][2]
They can also be synthesized from various carboxylic acids and sodium azide in presence of triphenylphosphine and trichloroacetonitrile catalysts in excellent yields at mild conditions.[3] Another route starts with aliphatic and aromatic aldehydes reacting with iodine azide which is formed from sodium azide and iodine monochloride in acetonitrile.[4]
Uses
Acyl azides are used as chemical reagents. On Curtius rearrangement acyl azides yield isocyanates.[5][6][7][8]

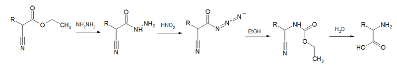
Acyl azides are also formed in Darapsky degradation,[9][10][11][12][13]

References
- ↑ C. F. H. Allen and Alan Bell. "Undecyl isocyanate". Org. Synth.; Coll. Vol., 3, p. 846
- ↑ Jon Munch-Petersen (1963). "m-Nitrobenzazide". Org. Synth.; Coll. Vol., 4, p. 715
- ↑ Jang, Doo; Kim, Joong-Gon (2008). "Direct Synthesis of Acyl Azides from Carboxylic Acids by the Combination of Trichloroacetonitrile, Triphenylphosphine and Sodium Azide". Synlett. doi:10.1055/s-2008-1077979.
- ↑ Marinescu, Lavinia; Thinggaard, Jacob; Thomsen, Ib B.; Bols, Mikael (2003). "Radical Azidonation of Aldehydes". The Journal of Organic Chemistry. 68 (24): 9453–5. doi:10.1021/jo035163v. PMID 14629171.
- ↑ Curtius, T. (1890). Ber. 23: 3023.
- ↑ Curtius, Th. (1894). "20. Hydrazide und Azide organischer Säuren I. Abhandlung". Journal für Praktische Chemie. 50: 275. doi:10.1002/prac.18940500125.
- ↑ Smith, P. A. S. (1946). Org. React. 3: 337–449.
- ↑ Scriven, Eric F. V.; Turnbull, Kenneth (1988). "Azides: Their preparation and synthetic uses". Chemical Reviews. 88 (2): 297. doi:10.1021/cr00084a001.
- ↑ A. Darapsky (1936). "Darstellung von ?-Aminosäuren aus Alkyl-cyanessigsäuren". J. Prakt. Chem. 146 (8–12): 250. doi:10.1002/prac.19361460806.
- ↑ A. Darapsky; D. Hillers (1915). "Über das Hydrazid der Cyanessigsäure, Isonitrosocyanessigsäure und Nitrocyanessigsäure". J. Prakt. Chem. 92: 297. doi:10.1002/prac.19150920117.
- ↑ P. E. Gagnon; P. A. Boivin; H. M. Craig (1951). "Synthesis of Amino Acids from Substituted Cyanoacetic Esters". Can. J. Chem. 29: 70. doi:10.1139/v51-009.
- ↑ E. H. Rodd (1965). "Chemistry of Carbon Compounds" (2nd ed.). New York: 1157.
- ↑ Gagnon, Paul E.; Nadeau, Guy; Côté, Raymond (1952). "Synthesis of α-Amino Acids from Ethyl Cyanoacetate". Can. J. Chem. 30 (8): 592. doi:10.1139/v52-071.
This article is issued from Wikipedia - version of the 3/20/2015. The text is available under the Creative Commons Attribution/Share Alike but additional terms may apply for the media files.
