alpha-Pinene
![]() | |||
| |||
| Names | |||
|---|---|---|---|
| IUPAC name
(1S,5S)-2,6,6-Trimethylbicyclo[3.1.1]hept-2-ene ((−)-α-Pinene) | |||
| Identifiers | |||
| 80-56-8 unspecified 7785-70-8 (+)-α-Pinene 7785-26-4 (−)-α-Pinene | |||
| 3D model (Jmol) | Interactive image | ||
| ChEBI | CHEBI:36740 unspecified CHEBI:28660 (−)-α-Pinene CHEBI:28261 (+)-α-Pinene | ||
| ChemSpider | 389795 | ||
| ECHA InfoCard | 100.001.175 | ||
| KEGG | C06308 | ||
| PubChem | 440968 | ||
| RTECS number | DT7000000 (unspec. isomer) | ||
| UNII | JPF3YI7O34 | ||
| |||
| |||
| Properties | |||
| C10H16 | |||
| Molar mass | 136.24 g·mol−1 | ||
| Appearance | Clear colorless liquid | ||
| Density | 0.858 g/mL (liquid at 20 °C) | ||
| Melting point | −64 °C (−83 °F; 209 K) | ||
| Boiling point | 155 °C (311 °F; 428 K) | ||
| Very low | |||
| Solubility in acetic acid | miscible | ||
| Solubility in ethanol | miscible | ||
| Solubility in acetone | miscible | ||
| Chiral rotation ([α]D) |
−50.7° (1S,5S-Pinene) | ||
| Hazards | |||
| Main hazards | flammable | ||
| R-phrases | R10 R20/21/22 R36/37/38 R43 R51 | ||
| S-phrases | S16 S26 S36 S37 S60 S61 | ||
| NFPA 704 | |||
| Flash point | 33 °C (91 °F; 306 K) | ||
| Related compounds | |||
| Related alkene |
β-Pinene, Camphene, 3-Carene, Limonene | ||
| Related compounds |
Borneol, Camphor, Terpineol | ||
| Except where otherwise noted, data are given for materials in their standard state (at 25 °C [77 °F], 100 kPa). | |||
| | |||
| Infobox references | |||
α-Pinene is an organic compound of the terpene class, one of two isomers of pinene.[1] It is an alkene and it contains a reactive four-membered ring. It is found in the oils of many species of many coniferous trees, notably the pine. It is also found in the essential oil of rosemary (Rosmarinus officinalis) and Satureja myrtifolia (also known as "Zoufa" in some regions.)[2][3] Both enantiomers are known in nature; (1S,5S)- or (−)-α-pinene is more common in European pines, whereas the (1R,5R)- or (+)-α-isomer is more common in North America. The racemic mixture is present in some oils such as eucalyptus oil and orange peel oil.
Reactivity
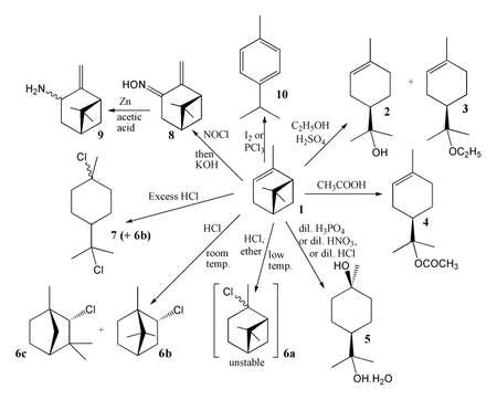
The four-membered ring in α-pinene 1 makes it a reactive hydrocarbon, prone to skeletal rearrangements such as the Wagner-Meerwein rearrangement. For example, attempts to perform hydration or hydrogen halide addition with the alkene functionality typically lead to rearranged products. With concentrated sulfuric acid and ethanol the major products are terpineol 2 and its ethyl ether 3, while glacial acetic acid gives the corresponding acetate ester 4. With dilute acids, terpin hydrate 5 becomes the major product.
With one molar equivalent of anhydrous HCl, the simple addition product 6a can be formed at low temperature in the presence of ether, but it is very unstable. At normal temperatures, or if no ether is present, the major product is bornyl chloride 6b, along with a small amount of fenchyl chloride 6c.[4] For many years 6b (also called "artificial camphor") was referred to as "pinene hydrochloride", until it was confirmed as identical with bornyl chloride made from camphene. If more HCl is used, achiral 7 (dipentene hydrochloride) is the major product along with some 6b. Nitrosyl chloride followed by base leads to the oxime 8 which can be reduced to "pinylamine" 9. Both 8 and 9 are stable compounds containing an intact four-membered ring, and these compounds helped greatly in identifying this important component of the pinene skeleton.[5]
A variety of reagents such as iodine or PCl3 cause aromatisation, leading to p-cymene 10.
Under aerobic oxidation conditions, the main oxidation products are pinene oxide, verbenyl hydroperoxide, verbenol and verbenone.[6]
Atmospheric role
Monoterpenes, of which α-pinene is one of the principal species, are emitted in substantial amounts by vegetation, and these emissions are affected by temperature and light intensity. In the atmosphere α-pinene undergoes reactions with ozone, the OH radical or the NO3 radical,[7] leading to low-volatility species which partly condense on existing aerosols, thereby generating secondary organic aerosols. This has been shown in numerous laboratory experiments for the mono- and sesquiterpenes.[8][9] Products of α-pinene which have been identified explicitly are pinonaldehyde, norpinonaldehyde, pinic acid, pinonic acid and pinalic acid.
Properties and usage
At low exposure levels, α-Pinene is a bronchodilator in humans, and is highly bioavailable with 60% human pulmonary uptake with rapid metabolism or redistribution.[10] α-Pinene is an anti-inflammatory via PGE1,[10] and seems to be a broad-spectrum antibiotic.[11] It exhibits activity as an acetylcholinesterase inhibitor, aiding memory.[10] Like borneol, verbenol and pinocarveol (−)-α-pinene is a positive modulator of GABAA receptors. It acts at the benzodiazepine binding site.[12]
α-Pinene forms the biosynthetic base for CB2 ligands, such as HU-308.[10]
References
- ↑ Simonsen, J. L. (1957) The Terpenes (2nd edition) Vol. 2 Cambridge:Cambridge University Press, pp 105-191.
- ↑ PDR for Herbal Medicine. Montvale, NJ: Medical Economics Company. p. 1100
- ↑ Zebib, Bachar; Beyrouthy, Marc EL; Sarfi, Carl; Merah, Othmane (2015-04-16). "Chemical Composition of the Essential Oil of Satureja myrtifolia (Boiss. & Hohen.) from Lebanon". Journal of essential oil-bearing plants JEOP. 18 (1). doi:10.1080/0972060X.2014.890075. ISSN 0972-060X.
- ↑ Richter, G. H. (1945) Textbook of Organic Chemistry, 2nd ed., John Wiley & Sons., New York, PP 663-666.
- ↑ Ruzicka, L.; Trebler, H. (1921). "Zur Kenntnis des Pinens III Konstitution des Nitrosopinens und seiner Umwandlungsprodukte". Helvetica Chimica Acta. 4: 566. doi:10.1002/hlca.19210040161.
- ↑ U. Neuenschwander (2010), "Mechanism of the Aerobic Oxidation of α-Pinene" (in German), ChemSusChem 3 (1): pp. 75–84, doi:10.1002/cssc.200900228
- ↑ IUPAC Subcommittee on Gas Kinetic Data Evaluation
- ↑ Odum, J. R.; Hoffmann, T.; Bowman, F.; Collins, D.; Flagan, R.C.; Seinfeld, J. H. (1996). "Gas/particle partitioning and secondary organic aerosol yields". Environmental Science and Technology. 30 (8): 2580–2585. doi:10.1021/es950943+.
- ↑ N. M. Donahue; K. M. Henry; T. F. Mentel; A. Kiendler-Scharr; C. Spindler; B. Bohn; T. Brauers; H. P. Dorn; H. Fuchs; R. Tillmann; A. Wahner; H. Saathoff; K.-H. Naumann; O. Mohler; T. Leisner; L. Muller; M.-C. Reinnig; T. Hoffmann; K. Salo; M. Hallquist; M. Frosch; M. Bilde; T. Tritscher; P. Barmet; A. P. Praplan; P. F. DeCarlo; J. Dommen; A. S. H. Prevot; U. Baltensperger (2012). "Aging of biogenic secondary organic aerosol via gas-phase OH radical reactions". Proceedings of the National Academy of Sciences. doi:10.1073/pnas.1115186109.
- 1 2 3 4 Russo, E. B (2011). "Taming THC: potential cannabis synergy and phytocannabinoid-terpenoid entourage effects". British Journal of Pharmacology. 163 (7): 1344–1364. doi:10.1111/j.1476-5381.2011.01238.x. PMC 3165946
. PMID 21749363. - ↑ Nissen, L; Zatta, A; Stefanini, I; Grandi, S; Sgorbati, B; Biavati, B; et al. (2010). "Characterization and antimicrobial activity of essential oils of industrial hemp varieties (Cannabis sativa L.)". Fitoterapia. 81: 413–419. doi:10.1016/j.fitote.2009.11.010.
- ↑ Yang H, Woo J, Pae AN, Um MY, Cho NC, Park KD, Yoon M, Kim J, Lee CJ, Cho S (2016). "α-Pinene, a major constituent of pine tree oils, enhances non-rapid eye movement sleep in mice through GABAA-benzodiazepine receptors". Mol. Pharmacol. doi:10.1124/mol.116.105080. PMID 27573669.

-alpha-pinene-3D-balls.png)
-alpha-pinene-3D-balls.png)

