Benzaldehyde
| |||
| Names | |||
|---|---|---|---|
| Preferred IUPAC name
Benzaldehyde[1] | |||
| Systematic IUPAC name
Benzenecarbaldehyde | |||
| Other names
Benzenecarboxaldehyde Phenylmethanal Benzoic aldehyde | |||
| Identifiers | |||
| 100-52-7 | |||
| 3D model (Jmol) | Interactive image Interactive image | ||
| ChEBI | CHEBI:17169 | ||
| ChEMBL | ChEMBL15972 | ||
| ChemSpider | 235 | ||
| ECHA InfoCard | 100.002.601 | ||
| EC Number | 202-860-4 | ||
| KEGG | D02314 | ||
| PubChem | 240 | ||
| RTECS number | CU437500 | ||
| UNII | TA269SD04T | ||
| |||
| |||
| Properties | |||
| C7H6O | |||
| Molar mass | 106.12 g·mol−1 | ||
| Appearance | colorless or yellowish liquid strongly refractive | ||
| Odor | almond-like | ||
| Density | 1.044 g/mL, liquid | ||
| Melting point | −57.12[2] °C (−70.82 °F; 216.03 K) | ||
| Boiling point | 178.1 °C (352.6 °F; 451.2 K) | ||
| 0.3 g/100 mL (20 °C)[3] | |||
| Solubility | soluble in liquid ammonia | ||
| Solubility | .695 g/100 mL | ||
| log P | 1.48 | ||
| Refractive index (nD) |
1.5456 | ||
| Viscosity | 1.321 cP (25 °C) | ||
| Thermochemistry | |||
| Std enthalpy of formation (ΔfH |
−36.8 kJ/mol | ||
| Std enthalpy of combustion (ΔcH |
−3525.1 kJ/mol | ||
| Hazards | |||
| Safety data sheet | J. T. Baker | ||
| EU classification (DSD) |
| ||
| R-phrases | R22 | ||
| S-phrases | (S2), S24 | ||
| NFPA 704 | |||
| Flash point | 64 °C (147 °F; 337 K) | ||
| 192 °C (378 °F; 465 K) | |||
| Explosive limits | 1.4-8.5% | ||
| Lethal dose or concentration (LD, LC): | |||
| LD50 (median dose) |
1300 mg/kg (rat, oral) | ||
| Related compounds | |||
| Related compounds |
Benzyl alcohol Benzoic acid | ||
| Except where otherwise noted, data are given for materials in their standard state (at 25 °C [77 °F], 100 kPa). | |||
| | |||
| Infobox references | |||
Benzaldehyde (C6H5CHO) is an organic compound consisting of a benzene ring with a formyl substituent. It is the simplest aromatic aldehyde and one of the most industrially useful.
This colorless liquid has a characteristic almond-like odor. Benzaldehyde is the primary component of bitter almond oil and can be extracted from a number of other natural sources.[4] Synthetic benzaldehyde is the flavoring agent in imitation almond extract, which is used to flavor cakes and other baked goods.[5]
History
Benzaldehyde was first extracted from bitter almonds in 1803 by the French pharmacist Martrès.[6] In 1832 German chemists Friedrich Wöhler and Justus von Liebig first synthesized benzaldehyde.[7]
Production
Benzaldehyde can be obtained by many processes. In the 1980s, an estimated 18 million kilograms were produced annually in Japan, Europe, and North America, a level that can be assumed to continue. Currently liquid phase chlorination and oxidation of toluene are the main routes. Numerous other methods have been developed, such as the partial oxidation of benzyl alcohol, alkali hydrolysis of benzal chloride, and the carbonylation of benzene.[8]
Benzaldehyde can be synthesized from cinnamaldehyde obtained from the oil of cinnamon by refluxing in aqueous/alcoholic solution between 90 °C and 150 °C with a base (most commonly sodium carbonate or bicarbonate) for 5 to 80 hours,[9] followed by distillation of the formed benzaldehyde. This reaction also yields acetaldehyde.
"Site-specific nuclear magnetic resonance spectroscopy", which evaluates 1H/2H isotope ratios, has been used to differentiate between naturally occurring and synthetic benzaldehyde.[10]
Occurrence
Benzaldehyde and similar chemicals occur naturally in many foods. Most of the benzaldehyde that people eat is from natural, traditional foods, such as almonds.[11]
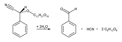
Almonds, apricots, apples and cherry kernels, contain significant amounts of amygdalin. This glycoside breaks up under enzyme catalysis into benzaldehyde, hydrogen cyanide and two molecules of glucose.
Benzaldehyde contributes to the scent of oyster mushrooms (Pleurotus ostreatus).[12]
Reactions
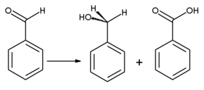
On oxidation, benzaldehyde is converted into the odorless benzoic acid, which is a common impurity in laboratory samples. Benzyl alcohol can be formed from benzaldehyde by means of hydrogenation. Reaction of benzaldehyde with anhydrous sodium acetate and acetic anhydride yields cinnamic acid, while alcoholic potassium cyanide can be used to catalyze the condensation of benzaldehyde to benzoin. Benzaldehyde undergoes disproportionation upon treatment with concentrated alkali (Cannizzaro reaction): one molecule of the aldehyde is reduced to the corresponding alcohol and another molecule is simultaneously oxidized to benzoate.
Uses
Benzaldehyde is commonly employed to confer almond flavor to foods and scented products. It is sometimes used in cosmetics products.[13]
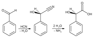
In industrial settings, benzaldehyde is used chiefly as a precursor to other organic compounds, ranging from pharmaceuticals to plastic additives. The aniline dye malachite green is prepared from benzaldehyde and dimethylaniline. It is a precursor to certain acridine dyes as well. Via aldol condensations, benzaldehyde is converted into derivatives of cinnamaldehyde and styrene. The synthesis of mandelic acid starts from benzaldehyde:
First hydrocyanic acid is added to benzaldehyde, and the resulting nitrile is subsequently hydrolysed to mandelic acid. (The scheme above depicts only one of the two formed enantiomers).
Niche uses
It is used as a bee repellant.[14] A small amount of benzaldehyde-containing solution is placed on a fume board near the honey combs. The bees promptly move away from the honey combs to get away from the fumes.[15] Benzaldehyde allows the beekeeper to remove the honey frames from the bee hive with greater safety to both bees and the beekeeper.
Safety
For a 70-kg human, the lethal dose is estimated at 50 mL.[8] Benzaldehyde has been classified as a hazardous substance by the United States Environmental Protection Agency.[16]
Benzaldehyde is used as a flavoring and fragrance in food, cosmetics, pharmaceuticals, and soap and is "generally regarded as safe" (GRAS) by the US FDA.[17] This status was reaffirmed after a review in 2005.[11] It is accepted in the European Union as a flavoring agent.[13] Toxicology studies indicate that it is safe and non-carcinogenic in the concentrations used for foods and cosmetics.[13] It may have carcinostatic (anti-cancer) properties.[13]
Benzaldehyde does not accumulate in any specific tissues.[13] It is metabolized and then excreted in urine.[13]
References
- ↑ Nomenclature of Organic Chemistry : IUPAC Recommendations and Preferred Names 2013 (Blue Book). Cambridge: The Royal Society of Chemistry. 2014. p. 908. doi:10.1039/9781849733069-FP001. ISBN 978-0-85404-182-4.
- ↑ William M. Haynes (2014), CRC Handbook of Chemistry and Physics (95th ed.), CRC press, pp. 3–34, ISBN 9781482208689
- ↑ "GESTIS Substance database". Institute for Occupational Safety and Health of the German Social Accident Insurance. Retrieved 21 August 2012.
- ↑ http://www.freepatentsonline.com/1416128.pdf, United States Patent 1416128 - Process of treating nut kernels to produce food ingredients.
- ↑ Illustrated, Cook's (2013-10-01). The Cook's Illustrated Baking Book. America's Test Kitchen. ISBN 9781936493784.
- ↑ In 1803 C. Martrès published a manuscript on the oil of bitter almonds: "Recherches sur la nature et le siège de l'amertume et de l'odeur des amandes amères" (Research on the nature and location of the bitterness and the smell of bitter almonds). However, the memoir was largely ignored until an extract was published in 1819: Martrès fils (1819) "Sur les amandes amères," Journal de Pharmacie, vol. 5, pages 289-296.
- ↑ Wöhler and Liebig (1832) "Untersuchungen über das Radikal der Benzoesäure" (Investigations of the radical of benzoic acid), Annalen der Pharmacie, vol. 3, pages 249-282.
- 1 2 Friedrich Brühne and Elaine Wright “Benzaldehyde” in Ullmann's Encyclopedia of Industrial Chemistry, 2002, Wiley-VCH, Weinheim. doi:10.1002/14356007.a03_463
- ↑ http://www.patentstorm.us/patents/pdfs/patent_id/4617419.html, Process for preparing natural benzaldehyde and acetaldehyde, natural benzaldehyde and acetaldehyde compositions, products produced thereby and organoleptic utilities therefor, Charles Wienes, Middletown; Alan O. Pittet, Atlantic Highlands, both of N.J.
- ↑ Ashurst, Philip R.; Dennis, M. J. (2013-11-11). Food Authentication. Springer Science & Business Media. p. 274. ISBN 9781461311195.
- 1 2 Adams, T. B.; Cohen, S. M.; Doull, J.; Feron, V. J.; Goodman, J. I.; Marnett, L. J.; Munro, I. C.; Portoghese, P. S.; Smith, R. L. (2005-08-01). "The FEMA GRAS assessment of benzyl derivatives used as flavor ingredients". Food and Chemical Toxicology. 43 (8): 1207–1240. doi:10.1016/j.fct.2004.11.014. ISSN 0278-6915. PMID 15950815.
- ↑ Beltran-Garcia, Miguel J.; Estarron-Espinosa, Mirna; Ogura, Tetsuya (1997). "Volatile Compounds Secreted by the Oyster Mushroom (Pleurotus ostreatus)and Their Antibacterial Activities". Journal of Agricultural and Food Chemistry. 45 (10): 4049. doi:10.1021/jf960876i.
- 1 2 3 4 5 6 Andersen, Alan (2006-01-01). "Final report on the safety assessment of benzaldehyde". International Journal of Toxicology. 25 Suppl 1: 11–27. doi:10.1080/10915810600716612. ISSN 1091-5818. PMID 16835129.
- ↑ Evans, Elizabeth; Butler, Carol (2010-02-09). Why Do Bees Buzz?: Why Do Bees Buzz? Fascinating Answers to Questions about Bees. Rutgers University Press. pp. 177–178. ISBN 9780813549200.
- ↑ Sanford, Malcolm T.; Bonney, Richard E. (2010-01-01). Storey's Guide to Keeping Honey Bees: Honey Production, Pollination, Bee Health. Storey Publishing. p. 167. ISBN 9781603425506.
- ↑ http://www.epa.gov/iris/subst/0332.htm
- ↑ Friedrich Brühne; Elaine Wright (2007), "Benzaldehyde", Ullmann's Encyclopedia of Industrial Chemistry (7th ed.), Wiley, p. 11
External links
- International Chemical Safety Card 0102
- SIDS Initial Assessment Report for benzaldehyde from the Organisation for Economic Co-operation and Development (OECD)
- Benzaldehyde description at ChemicalLand21.com
- ChemSub Online: Benzaldéhyde.
- Carcinogenicity Potency Project





