Bhaskara's lemma
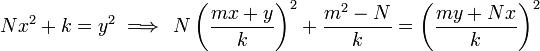
Bhaskara's Lemma is an identity used as a lemma during the chakravala method. It states that:
for integers
and non-zero integer
.
Proof
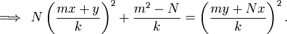
The proof follows from simple algebraic manipulations as follows: multiply both sides of the equation by
, add
, factor, and divide by
.
So long as neither
nor
are zero, the implication goes in both directions. (Note also that the lemma holds for real or complex numbers as well as integers.)
References
- C. O. Selenius, "Rationale of the chakravala process of Jayadeva and Bhaskara II", Historia Mathematica, 2 (1975), 167-184.
- C. O. Selenius, Kettenbruch theoretische Erklarung der zyklischen Methode zur Losung der Bhaskara-Pell-Gleichung, Acta Acad. Abo. Math. Phys. 23 (10) (1963).
- George Gheverghese Joseph, The Crest of the Peacock: Non-European Roots of Mathematics (1975).
External links
| ||||||||||||||||||||||||||||||||||||||
This article is issued from Wikipedia - version of the 6/19/2010. The text is available under the Creative Commons Attribution/Share Alike but additional terms may apply for the media files.

