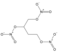
1,2,4-Butanetriol trinitrate
| | |
![]() | |
| Identifiers | |
|---|---|
| 6659-60-5 | |
| 3D model (Jmol) | Interactive image |
| ChemSpider | 455532 |
| ECHA InfoCard | 100.026.998 |
| |
| |
| Properties | |
| C4H7N3O9 | |
| Molar mass | 241.11 g/mol |
| Melting point | 250k |
| Except where otherwise noted, data are given for materials in their standard state (at 25 °C [77 °F], 100 kPa). | |
| | |
| Infobox references | |
1,2,4-Butanetriol trinitrate (BTTN), also called butanetriol trinitrate, is an important military propellant. It is a colorless to brown explosive liquid.
BTTN is used as a propellant in virtually all single-stage missiles used by the United States, including the Hellfire. It is less volatile, less sensitive to shock, and more thermally stable than nitroglycerine, for which it is a promising replacement.
BTTN as a propellant is often used in a mixture with nitroglycerin. The mixture can be made by co-nitration of butanetriol and glycerol. BTTN is also used as a plasticizer in some nitrocellulose based propellants.
BTTN is manufactured by nitration of 1,2,4-butanetriol. Biotechnological manufacture of butanetriol is under intensive research.
References
External links
This article is issued from Wikipedia - version of the 8/26/2015. The text is available under the Creative Commons Attribution/Share Alike but additional terms may apply for the media files.
