Camellia sinensis
| Camellia sinensis | |
|---|---|
![]() | |
![]() | |
| Camellia sinensis foliage | |
| Scientific classification | |
| Kingdom: | Plantae |
| (unranked): | Angiosperms |
| (unranked): | Eudicots |
| (unranked): | Asterids |
| Order: | Ericales |
| Family: | Theaceae |
| Genus: | Camellia |
| Species: | C. sinensis |
| Binomial name | |
| Camellia sinensis (L.) Kuntze | |
| Synonyms[1] | |
| |
Camellia sinensis is a species of evergreen shrub or small tree whose leaves and leaf buds are used to produce tea. It is of the genus Camellia (Chinese: 茶花; pinyin: Cháhuā, literally: "tea flower") of flowering plants in the family Theaceae. Common names include "tea plant", "tea shrub", and "tea tree" (not to be confused with Melaleuca alternifolia, the source of tea tree oil, or Leptospermum scoparium, the New Zealand teatree).
Two major varieties are grown: Camellia sinensis var. sinensis for Chinese teas, and Camellia sinensis var. assamica for Indian Assam teas.[2] White tea, yellow tea, green tea, oolong, pu-erh tea and black tea are all harvested from one or the other, but are processed differently to attain varying levels of oxidation. Kukicha (twig tea) is also harvested from Camellia sinensis, but uses twigs and stems rather than leaves.
Nomenclature and taxonomy
The name Camellia is taken from the Latinized name of Rev. Georg Kamel,[3] SJ (1661–1706), a Moravian-born Jesuit lay brother, pharmacist, and missionary to the Philippines.
Carl Linnaeus chose his name in 1753 for the genus to honor Kamel's contributions to botany[4] (although Kamel did not discover or name this plant, or any Camellia,[5] and Linnaeus did not consider this plant a Camellia but a Thea).[6]
Robert Sweet shifted all formerly Thea species to the Camellia genus in 1818.[7] The name sinensis means from China in Latin.
Four varieties of Camellia sinensis are recognized.[1] Of these, C. sinensis var. sinensis and C. sinensis var. assamica (JW Masters) Kitamura are most commonly used for tea, and C. sinensis var. pubilimba Hung T. Chang and C. sinensis var. dehungensis (Hung T. Chang & BH Chen) TL Ming are sometimes used locally.[1]
Cultivars
Cultivars of C. sinensis include:
Description
Camellia sinensis is native to East Asia, the Indian Subcontinent and Southeast Asia, but it is today cultivated across the world in tropical and subtropical regions.
Camellia sinensis is an evergreen shrub or small tree that is usually trimmed to below 2 m (6.6 ft) when cultivated for its leaves. It has a strong taproot. The flowers are yellow-white, 2.5–4 cm (0.98–1.57 in) in diameter, with 7 to 8 petals.
The seeds of Camellia sinensis and Camellia oleifera can be pressed to yield tea oil, a sweetish seasoning and cooking oil that should not be confused with tea tree oil, an essential oil that is used for medical and cosmetic purposes, and originates from the leaves of a different plant.


The leaves are 4–15 cm (1.6–5.9 in) long and 2–5 cm (0.79–1.97 in) broad. Fresh leaves contain about 4% caffeine, as well as related compounds including theobromine.[10] The young, light green leaves are preferably harvested for tea production; they have short white hairs on the underside. Older leaves are deeper green. Different leaf ages produce differing tea qualities, since their chemical compositions are different. Usually, the tip (bud) and the first two to three leaves are harvested for processing. This hand picking is repeated every one to two weeks.
Cultivation
Camellia sinensis is mainly cultivated in tropical and subtropical climates, in areas with at least 127 cm. (50 inches) of rainfall a year. Tea plants prefer a rich and moist growing location in full to part sun, and can be grown in hardiness zones 7 – 9. However, the clonal one is commercially cultivated from the equator to as far north as Cornwall on the UK mainland.[11] Many high quality teas are grown at high elevations, up to 1,500 meters (4,900 feet), as the plants grow more slowly and acquire more flavour.
Tea plants will grow into a tree if left undisturbed, but cultivated plants are pruned to waist height for ease of plucking. Two principal varieties are used, the small-leaved Chinese variety plant (C. sinensis sinensis) and the large-leaved Assamese plant (C. sinensis assamica), used mainly for black tea.
Chinese teas
The Chinese plant (sometimes called C. sinensis var. sinensis) is a small-leafed bush with multiple stems that reaches a height of some 3 meters. It is native to southeast China. The first tea plant to be discovered, recorded and used to produce tea three thousand years ago, it yields some of the most popular teas.
C. sinensis var. waldenae was considered a different species, Camellia waldenae by SY Hu,[12] but it was later identified as a variety of C. sinensis.[13] This variety is commonly called Waldenae Camellia. It is seen on Sunset Peak and Tai Mo Shan in Hong Kong. It is also distributed in Guangxi province, China.[12]
Indian teas
Three main kinds of tea are produced in India:
- Assam comes from the northeastern section of the country. This heavily forested region is home to much wildlife, including the rhinoceros. Tea from here is rich and full-bodied. It was in Assam that the first tea estate was established, in 1837.
- Darjeeling, from the cool and wet Darjeeling region, tucked in the foothills of the Himalayas. Tea plantations reach 2,200 metres. The tea is delicately flavoured, and considered to be one of the finest teas in the world. The Darjeeling plantations have 3 distinct harvests, termed 'flushes', and the tea produced from each flush has a unique flavour. First (spring) flush teas are light and aromatic, while the second (summer) flush produces tea with a bit more bite. The third, or autumn flush gives a tea that is lesser in quality.
- Nilgiri, from a southern region of India almost as high as Darjeeling. Grown at elevations between 1,000 and 2,500 metres, Nilgiri teas are subtle and rather gentle, and are frequently blended with other, more robust teas.

Pests and diseases
Tea leaves are eaten by some herbivores, like the caterpillars of the willow beauty (Peribatodes rhomboidaria), a geometer moth.
Health effects
The leaves have been used in traditional Chinese medicine and other medical systems to treat asthma (functioning as a bronchodilator), angina pectoris, peripheral vascular disease, and coronary artery disease.
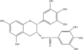
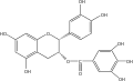
Among other interesting bioactivities, (-)-catechin from C. sinensis was shown to act as agonist of PPARgamma, nuclear receptor that is a current pharmacological target for the treatment of diabetes type 2.[14]
Tea may have some negative impacts on health, such as over-consumption of caffeine, and the presence of oxalates in tea.[15][16]
See also
- Chinese herbology
- Green tea extract
- International Code of Nomenclature for Cultivated Plants
- ISO 3103, a method of brewing tea according to the ISO
- Kaempferol, a flavanoid found in tea and associated with reduced risk of heart disease
- List of tea companies
- Tasseography, a method of divination by reading tea leaves.
- Tea classics
- Tea production in Sri Lanka
- Turkish tea
- Tea production in Kenya
- Tea leaf grading
Primary green tea catechins
(–) -Epigallocatechin_-Epigallocatechin_gallate.svg.png)
(–) -Epicatechin gallate.
(–) -Epicatechin
References
- 1 2 3 Min, Tianlu; Bartholomew, Bruce. "18. Theaceae". Flora of China. 12.
- ↑ ITIS Standard Report Page Camellia Sinensis retrieved 2009-03-28.
- ↑ Stafleu, FA; Cowan, RS (1976–88). Taxonomic literature: A selective guide to botanical publications and collections with dates, commentaries and types (2nd ed.). Utrecht: Bohn, Scheltema and Holkema.
- ↑ "Botanics", History of Tea, 10 August 2003,
Georg Jeoseph Kamel, whose name in Latin was Camellus was missionary to the Philippines, died in Manilla in 1706. […] Camellias were named in posthumous honor of George Joseph Kamel by Carolus Linnæus
. - ↑ "Botanics", History of Tea, 10 August 2003,
It is speculated that he never saw a camellia
. - ↑ Golender, Leonid (10 August 2003), "Botanics", History of Tea,
The first edition of Linnaeus's Species Plantarum published in 1753 suggested calling the tea plant Thea sinensis...
- ↑ International Association for Plant Taxonomy (2006), "Article 13, example 3", International Code of Botanical Nomenclature (Vienna Code) (electronic ed.),
The generic names Thea L. (Sp. Pl.: 515. 24 Mai 1753), and Camellia L. (Sp. Pl.: 698. 16 August 1753; Gen. Pl., ed. 5: 311. 1754), are treated as having been published simultaneously on 1 May 1753. … the combined genus bears the name Camellia, since Sweet (Hort. Suburb. Lond.: 157. 1818), who was the first to unite the two genera, chose that name, and cited Thea as a synonym
. - 1 2 "Identification of Japanese tea (Camellia sinensis) cultivars using SSR marker". Food and Agriculture Organization. Retrieved 5 June 2009.
- 1 2 3 4 5 "Varietal differences in the adaptability of tea [Camellia sinensis] cultivars to light nitrogen application". Food and Agriculture Organization. Retrieved 5 June 2009.
- ↑ "Camellia sinensis". Purdue. Retrieved 18 February 2008.
- ↑ "Tea", Gardening, Telegraph Online, 17 September 2005.
- 1 2 The International Camellia Society (ICS), DE: Uniklinik Sårland, archived from the original on 21 August 2006
- ↑ Ming, TL (1992), "A revision of Camellia sect. Thea", Acta Botanica Yunnanica (in Chinese), 14 (2): 115–32.
- ↑ Wang L, Waltenberger B, Pferschy-Wenzig EM, Blunder M, Liu X, Malainer C, Blazevic T, Schwaiger S, Rollinger JM, Heiss EH, Schuster D, Kopp B, Bauer R, Stuppner H, Dirsch VM, Atanasov AG. Natural product agonists of peroxisome proliferator-activated receptor gamma (PPARγ): a review. Biochem Pharmacol. 2014 Jul 29. pii: S0006-2952(14)00424-9. doi: 10.1016/j.bcp.2014.07.018. PubMed PMID 25083916.
- ↑ "Drinking too much iced tea caused man's kidney failure, doctors say". the Guardian.
- ↑ James Hamblin. "How Much Tea Is 'Too Much'? This Man Found Out". The Atlantic.
- ↑ Murray, edited by Joseph E. Pizzorno, Jr., Michael T. (2012). Textbook of natural medicine (4th ed.). Edinburgh: Churchill Livingstone. p. 628. ISBN 978-1-4377-2333-5.
External links
| Wikimedia Commons has media related to Camellia sinensis. |
| Wikispecies has information related to: Camellia sinensis |
- "Camellia sinensis". Integrated Taxonomic Information System. Retrieved 16 February 2006.
- Camellia sinensis from Purdue University
- The International Camellia Society
- Plant Cultures: botany and history of the tea plant
- Antibacterial Activity of Green Tea Extracts against Streptococcus anginosus group CI.NII.AC.jp
- Jac.OxfordJournals.org, The effect of a component of tea (Camellia sinensis) on methicillin resistance in Staphylococcus.
- Suns.Ars-Grin.gov, List of Chemicals in Camellia sinensis (Dr. Duke's Databases)

