Carbo-mer
In organic chemistry, a carbomer is an expanded molecule obtained by insertion of a C2 unit in a given molecule.[1] Carbomers differ from their templates in size but not in symmetry when each C–C single bond is replaced by at least one alkyne bond, and when a double bond is replaced by an allene bond. The size of the carbomer will continue to increase when more alkyne bonds are introduced and for this reason carbomers are also called carbon-molecules, where "n" is the number of acetylene or allene groups in an n-expansion unit. This concept, devised by Rémi Chauvin in 1995, is aimed at introducing new chemical properties for existing chemical motifs.
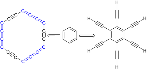
Two representations exist for carbo-benzene (written as an [18]annulene derivative: 1,2,4,5,7,8,I0,11,13,14,16,17-dodecadehydro[18]annulene), one has the aromatic core of benzene expanded, and one has the hydrogen substituents expanded. The substituted benzene derivative hexaethynylbenzene is a known compound,[2] and the core-expanded molecule also exists, although with the hydrogen atoms replaced by phenyl groups.[3] The final step in its organic synthesis is reaction of the triol with stannous chloride and hydrochloric acid in diethyl ether.
The proton NMR spectrum for this compound shows that the phenyl protons are shifted downfield compared to a proton position in benzene itself (chemical shift position for the ortho proton is 9.49 ppm), suggesting the presence of a diamagnetic ring current and thus aromaticity.
The total carbomer of benzene with core and periphery expanded (C30H6) only exists in silico.[4]
Calculations predict a planar D6h structure with bond lengths similar to the other two carbobenzenes. Its non-planar isomer is called "hexaethynyl-carbo-[6]trannulene" - a pun on the all-cis annulenes - and resembles a cyclohexane ring. This hypothetical molecule is predicted to be more energetic by 65 kcal/mol.
References
- ↑ Carbomers. I. A general concept of expanded molecules Remi Chauvin Tetrahedron Letters Volume 36, Issue 3 , 16 January 1995, Pages 397-400 doi:10.1016/0040-4039(94)02275-G
- ↑ Hexaethynylbenzene Rainer Diercks, James C. Armstrong, Roland Boese, K. Peter C. Vollhardt. Hexaethynylbenzene. Angewandte Chemie International. 1986; 25(3):268-269. doi:10.1002/anie.198602681
- ↑ Synthesis of the first 3,6,9,15,18,18-hexa-substituted-1,2,4,5,7,8,10,11,13,14,16,17-dodecadehydro[18]annulenes with D6h-symmetry Yoshiyuki Kuwatani, Naoto Watanabe and Ikuo Ueda Tetrahedron Letters Volume 36, Issue 1 , 2 January 1995, Pages 119-122 doi:10.1016/0040-4039(94)02181-A
- ↑ Total carbo-Mer of Benzene, Its carbo-Trannulene Form, and the Zigzag Nanotube Thereof Christine Lepetit, Chunhai Zou, and Remi Chauvin J. Org. Chem.; 2006; 71(17) pp 6317 - 6324; (Article) doi:10.1021/jo052551j


