Castavinol

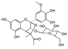
Chemical structure of castavinol C3.
Castavinols are natural phenolic compounds found in red wines.[1] These molecules are colorless and are derived from anthocyanin pigments. Thus their formation leads to a wine color loss.
Known molecules
- Castavinol C1
- Castavinol C2
- Castavinol C3
- Castavinol C4
References
- ↑ Castavinol, a new series of polyphenols from Bordeaux red wines. Chantal Castagnino and Joseph Vercauteren, Tetrahedron Letters, Volume 37, Issue 43, 21 October 1996, pp. 7739-7742, doi:10.1016/0040-4039(96)01761-3
External links
This article is issued from Wikipedia - version of the 12/10/2011. The text is available under the Creative Commons Attribution/Share Alike but additional terms may apply for the media files.