Clonitazene
![]() | |
| Clinical data | |
|---|---|
| ATC code | none |
| Legal status | |
| Legal status |
|
| Identifiers | |
| |
| Synonyms | Clonitazene |
| CAS Number | 3861-76-5 |
| PubChem (CID) | 62528 |
| DrugBank |
DB01523 |
| ChemSpider |
56301 |
| UNII |
S90R21A2V2 |
| ChEMBL | CHEMBL2104616 |
| Chemical and physical data | |
| Formula | C20H23ClN4O2 |
| Molar mass | 386.88 g/mol |
| 3D model (Jmol) | Interactive image |
| |
| |
| (verify) | |
Clonitazene is an opioid analgesic of approximately three times the potency of morphine. It is related to etonitazene, an opioid of significantly higher potency. Clonitazene is not currently marketed. It is a controlled substance; in the United States it is a Schedule I Narcotic controlled substance with a DEA ACSCN of 9612 and an annual manufacturing quota of zero.
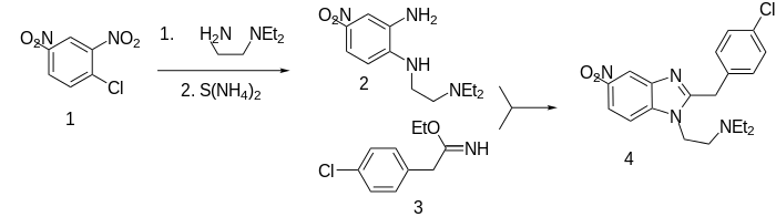
Synthesis

References
- ↑ Hunger, A.; Kebrle, J.; Rossi, A.; Hoffmann, K. (1957). "Synthese basisch substituierter, analgetisch wirksamer Benzimidazol-Derivate". Experientia. 13 (10): 400–1. doi:10.1007/BF02161116. PMID 13473817.
This article is issued from Wikipedia - version of the 8/10/2016. The text is available under the Creative Commons Attribution/Share Alike but additional terms may apply for the media files.
