Complete homogeneous symmetric polynomial
In mathematics, specifically in algebraic combinatorics and commutative algebra, the complete homogeneous symmetric polynomials are a specific kind of symmetric polynomials. Every symmetric polynomial can be expressed as a polynomial expression in complete homogeneous symmetric polynomials.
Definition
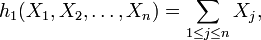
The complete homogeneous symmetric polynomial of degree k in
variables X1, ..., Xn, written hk for k = 0, 1, 2, ..., is the sum of all monomials of total degree k in the variables. Formally,
The formula can also be written as:
Indeed, lp is just multiplicity of p in sequence ik.
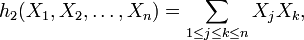
The first few of these polynomials are
Thus, for each nonnegative integer
, there exists exactly one complete homogeneous symmetric polynomial of degree
in
variables.
Another way of rewriting the definition is to take summation over all sequences ik,
without condition of ordering
:
here mp is the multiplicity of number p in the sequence ik.
For example
The polynomial ring formed by taking all integral linear combinations of products of the complete homogeneous symmetric polynomials is a commutative ring.
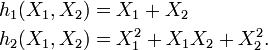
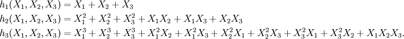
Examples
The following lists the
basic (as explained below) complete homogeneous symmetric polynomials for the first three positive values of n.
For n = 1:
For n = 2:
For n = 3:
Properties
Generating function
The complete homogeneous symmetric polynomials are characterized by the following identity of formal power series in t:
(this is called the generating function, or generating series, for the complete homogeneous symmetric polynomials). Here each fraction in the final expression is the usual way to represent the formal geometric series that is a factor in the middle expression. The identity can be justified by considering how the product of those geometric series is formed: each factor in the product is obtained by multiplying together one term chosen from each geometric series, and every monomial in the variables Xi is obtained for exactly one such choice of terms, and comes multiplied by a power of t equal to the degree of the monomial.
The formula above is in certain sense equivalent to MacMahon master theorem. Indeed, the right hand side can be interpreted as 1/det(1-tM), for the diagonal matrix M with Xi on the diagonal. On the left hand side, one can recognize expressions like those in MacMahon's master theorem. Diagonalizable matrices are dense in the set of all matrices, and this consideration proves the whole theorem.
Relation with the elementary symmetric polynomials
There is a fundamental relation between the elementary symmetric polynomials and the complete homogeneous ones:
which is valid for all m > 0, and any number of variables n. The easiest way to see that it holds is from an identity of formal power series in t for the elementary symmetric polynomials, analogous to the one given above for the complete homogeneous ones:
(this is actually an identity of polynomials in t, because after en(X1,…Xn) the elementary symmetric polynomials become zero). Multiplying this by the generating function for the complete homogeneous symmetric polynomials, one obtains the constant series 1, and the relation between the elementary and complete homogeneous polynomials follows from comparing coefficients of tm. A somewhat more direct way to understand that relation, is to consider the contributions in the summation involving a fixed monomial Xα of degree m. For any subset S of the variables appearing with nonzero exponent in the monomial, there is a contribution involving the product XS of those variables as term from es(X1,…,Xn), where s = #S, and the monomial Xα / XS from hm−s(X1,…,Xn); this contribution has coefficient (−1)s. The relation then follows from the fact that
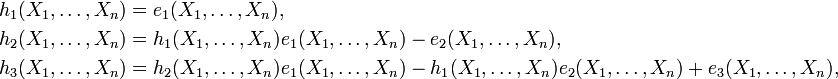
by the binomial formula, where l ≤ m denotes the number of distinct variables occurring (with nonzero exponent) in Xα. Since e0(X1, …, Xn) and h0(X1, …, Xn) are both equal to 1, one can isolate from the relation either the first or the last terms of the summation. The former gives a sequence of equations
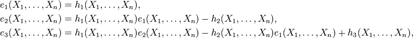
and so on, that allows to recursively express the successive complete homogeneous symmetric polynomials in terms of the elementary symmetric polynomials; the latter gives a set of equations
and so forth, that allows doing the inverse. The first n elementary and complete homogeneous symmetric polynomials play perfectly similar roles in these relations, even though the former polynomials then become zero, whereas the latter do not. This phenomenon can be understood in the setting of the ring of symmetric functions. It has a ring automorphism that interchanges the sequences of the n elementary and first n complete homogeneous symmetric functions.
The set of complete homogeneous symmetric polynomials of degree 1 to n in n variables generates the ring of symmetric polynomials in n variables. More specifically, the ring of symmetric polynomials with integer coefficients equals the integral polynomial ring
This can be formulated by saying that
form an algebraic basis of the ring of symmetric polynomials in X1, … Xn with integral coefficients (as is also true for the elementary symmetric polynomials). The same is true with the ring Z of integers replaced by any other commutative ring. These statements follow from analogous statements for the elementary symmetric polynomials, due to the indicated possibility of expressing either kind of symmetric polynomials in terms of the other kind.
Relation with the monomial symmetric polynomials
The polynomial hk(X1, …, Xn) is also the sum of all distinct monomial symmetric polynomials of degree k in X1, …, Xn, for instance
Relation with symmetric tensors
Consider an n-dimensional vector space V and a linear operator M:V → V with eigenvalues X1, X2,...,Xn. Denote by Symk(V) its k-th symmetric tensor power and MSym(k) the induced operator Symk(V) → Symk(V).
Proposition:
The proof is easy: consider an eigenbasis ei for M. The basis in Symk(V) can be indexed by sequences i1 ≤ i2 ≤ ... ≤ ik, indeed, consider the symmetrizations of
.
All such vectors are eigenvectors for MSym(k) with eigenvalues
hence this proposition is true.
Similarly one can express elementary symmetric polynomials via traces over antisymmetric tensor powers. Both expressions are subsumed in expressions of Schur polynomials as traces over Schur functors. Which can be seen as the Weyl character formula for GL(V).
See also
- Symmetric polynomial
- Elementary symmetric polynomial
- Schur polynomial
- Newton's identities
- MacMahon Master theorem
- Symmetric function
- Representation theory
References
- Macdonald, I.G. (1979), Symmetric Functions and Hall Polynomials. Oxford Mathematical Monographs. Oxford: Clarendon Press.
- Macdonald, I.G. (1995), Symmetric Functions and Hall Polynomials, second ed. Oxford: Clarendon Press. ISBN 0-19-850450-0 (paperback, 1998).
- Richard P. Stanley (1999), Enumerative Combinatorics, Vol. 2. Cambridge: Cambridge University Press. ISBN 0-521-56069-1

















![\mathbf Z[h_1(X_1,\ldots,X_n),\ldots,h_n(X_1,\ldots,X_n)].](../I/m/800da1f177edd71424d868431025fa6d.png)


