Coniferyl alcohol
![]() | |
![]() | |
| Names | |
|---|---|
| IUPAC names
4-(3-hydroxy-1-propenyl)- 2-methoxyphenol | |
| Other names
4-hydroxy-3-methoxycinnamyl alcohol Coniferol | |
| Identifiers | |
| 32811-40-8 | |
| 3D model (Jmol) | Interactive image |
| ChEBI | CHEBI:17745 |
| ChEMBL | ChEMBL501870 |
| ChemSpider | 1266063 |
| ECHA InfoCard | 100.006.617 |
| PubChem | 1549095 |
| UNII | E7SM92591P |
| |
| |
| Properties | |
| C10H12O3 | |
| Molar mass | 180.20 g·mol−1 |
| Melting point | 74 °C (165 °F; 347 K) |
| Boiling point | 163 to 165 °C (325 to 329 °F; 436 to 438 K) |
| Except where otherwise noted, data are given for materials in their standard state (at 25 °C [77 °F], 100 kPa). | |
| | |
| Infobox references | |
Coniferyl alcohol is an organic compound. This colourless crystalline solid is a phytochemical, one of the monolignols. It is synthethized via the phenylpropanoid biochemical pathway. When copolymerized with related aromatic compounds, coniferyl alcohol forms lignin or lignans.[1] Coniferin is a glucoside of coniferyl alcohol.
Coniferyl alcohol is an intermediate in biosynthesis of eugenol and of stilbenoids and coumarin. Gum benzoin contains significant amount of coniferyl alcohol and its esters.
It is found in both gymnosperm and angiosperm plants. Sinapyl alcohol and paracoumaryl alcohol, the other two lignin monomers, are found in angiosperm plants and grasses.
It is a queen retinue pheromone (QRP), a type of honey bee pheromone found in the mandibular glands.[2]
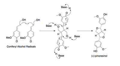
Pinoresinol biosynthesis
A first dirigent protein was discovered in Forsythia intermedia. This protein has been found to direct the stereoselective biosynthesis of (+)-pinoresinol from coniferyl alcohol monomers.[3] Recently, a second, enantiocomplementary dirigent protein was identified in Arabidopsis thaliana, which directs enantioselective synthesis of (−)-pinoresinol.[4]
-Pinoresinol_Biosynthesis.png)
References
- ↑ Kenji liyama; Thi Bach-Tuyet Lam & Bruce A. Stone (1994). "Covalent Cross-Links in the Cell Wall". Plant Physiology. 104 (2): 315–320. PMC 159201
. PMID 12232082. - ↑ Keeling, C. I., Slessor, K. N., Higo, H. A. and Winston, M. L. (2003) Isolation and identification of new components of the honey bee (Apis mellifera L.) queen retinue pheromone. PNAS, April 15, 2003 vol. 100 no. 8 4486-4491, doi:10.1073/pnas.0836984100
- ↑ Davin LB, Wang HB, Crowell AL, et al. (1997). "Stereoselective bimolecular phenoxy radical coupling by an auxiliary (dirigent) protein without an active center". Science. 275 (5298): 362–6. doi:10.1126/science.275.5298.362. PMID 8994027.
- ↑ Pickel B, Constantin M-A, Pfannsteil J, Conrad J, Beifuss U, Schaffer A (March 2007). "An Enantiocomplementary Dirigent Protein for the Enantioselective Laccase-Catalyzed Oxidative Coupling of Phenols". Angewandte Chemie. 53 (4): 273–284. doi:10.1007/s10086-007-0892-x.

