Coulomb collision
A Coulomb collision is a binary elastic collision between two charged particles interacting through their own electric field. As with any inverse-square law, the resulting trajectories of the colliding particles is a hyperbolic Keplerian orbit. This type of collision is common in plasmas where the typical kinetic energy of the particles is too large to produce a significant deviation from the initial trajectories of the colliding particles, and the cumulative effect of many collisions is considered instead.
Mathematical treatment for plasmas
In a plasma a Coulomb collision rarely results in a large deflection. The cumulative effect of the many small angle collisions, however, is often larger than the effect of the few large angle collisions that occur, so it is instructive to consider the collision dynamics in the limit of small deflections.
We can consider an electron of charge -e and mass me passing a stationary ion of charge +Ze and much larger mass at a distance b with a speed v. The perpendicular force is (1/4πε0)Ze2/b2 at the closest approach and the duration of the encounter is about b/v. The product of these expressions divided by the mass is the change in perpendicular velocity:
Note that the deflection angle is proportional to
. Fast particles are "slippery" and thus dominate many transport processes. The efficiency of velocity-matched interactions is also the reason that fusion products tend to heat the electrons rather than (as would be desirable) the ions. If an electric field is present, the faster electrons feel less drag and become even faster in a "run-away" process.
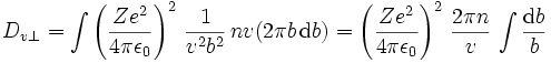
In passing through a field of ions with density n, an electron will have many such encounters simultaneously, with various impact parameters (distance to the ion) and directions. The cumulative effect can be described as a diffusion of the perpendicular momentum. The corresponding diffusion constant is found by integrating the squares of the individual changes in momentum. The rate of collisions with impact parameter between b and (b+db) is nv(2πb db), so the diffusion constant is given by
Obviously the integral diverges toward both small and large impact parameters. At small impact parameters, the momentum transfer also diverges. This is clearly unphysical since under the assumptions used here, the final perpendicular momentum cannot take on a value higher than the initial momentum. Setting the above estimate for
equal to mv, we find the lower cut-off to the impact parameter to be about
We can also use πb02 as an estimate of the cross section for large-angle collisions. Under some conditions there is a more stringent lower limit due to quantum mechanics, namely the de Broglie wavelength of the electron, h/(mev).
At large impact parameters, the charge of the ion is shielded by the tendency of electrons to cluster in the neighborhood of the ion and other ions to avoid it. The upper cut-off to the impact parameter should thus be approximately equal to the Debye length:
Coulomb logarithm
The integral of 1/b thus yields the logarithm of the ratio of the upper and lower cut-offs. This number is known as the Coulomb logarithm and is designated by either lnΛ or λ. It is the factor by which small-angle collisions are more effective than large-angle collisions. For many plasmas of interest it takes on values between 5 and 15. (For convenient formulas, see pages 34 and 35 of the NRL Plasma formulary.) The limits of the impact parameter integral are not sharp, but are uncertain by factors on the order of unity, leading to theoretical uncertainties on the order of 1/λ. For this reason it is often justified to simply take the convenient choice λ = 10.
The analysis here yields the scalings and orders of magnitude. For formulas derived from careful calculations, see page 31 ff. in the NRL Plasma formulary.
See also
External links
- Effects of Ionization [ApJ paper] by Gordon Emslie
- [NRL Plasma Formulary 2013 ed.]



