Dieckmann condensation
| Dieckmann condensation | |
|---|---|
| Named after | Walter Dieckmann |
| Reaction type | Ring forming reaction |
| Identifiers | |
| Organic Chemistry Portal | dieckmann-condensation |
| RSC ontology ID | RXNO:0000065 |
The Dieckmann condensation is the intramolecular chemical reaction of diesters with base to give β-ketoesters.[1][2][3][4][5] It is named after the German chemist Walter Dieckmann (1869–1925). The equivalent intermolecular reaction is the Claisen condensation.
Reaction Mechanism
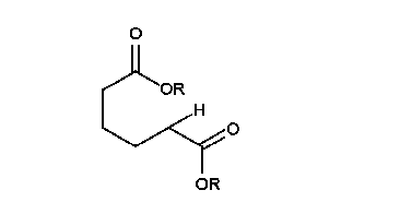
Deprotonation of an ester at the α-position generates an enolate ion which then undergoes a 5-exo-trig nucleophilic attack to give a cyclic enol. Protonation with a Bronsted-Lowry acid (H3O+ for example) re-forms the β-keto ester.[6]
Owing to the steric stability of five- and six-membered ring structures, these will preferentially be formed. So 1,6 diesters will form five-membered cyclic β-keto esters, while 1,7 diesters will form six-membered β-keto esters.[7]
![]() |
| animation of the reaction mechanism |
See also
References
- ↑ Dieckmann, W. Ber. 1894, 27, 102 & 965
- ↑ Dieckmann, W. Ber. 1900, 33, 595 & 2670
- ↑ Dieckmann, W. Ann. 1901, 317, 51 & 93
- ↑ Schaefer, J. P.; Bloomfield, J. J. (1967). "The Dieckmann Condensation (Including the Thorpe-Ziegler Condensation)". Organic Reactions. 15: 1–203. doi:10.1002/0471264180.or015.01.
- ↑ Davis, B. R.; Garrett, P. J. Comp. Org. Syn. 1991, 2, 806-829. (Review)
- ↑ Janice Gorzynski Smith (2007). Organic Chemistry (2nd ed.). pp. 932–933. ISBN 978-0073327495.
- ↑ "Dieckmann Condensation". Organic Chemistry Portal.
This article is issued from Wikipedia - version of the 10/23/2016. The text is available under the Creative Commons Attribution/Share Alike but additional terms may apply for the media files.


