Diphosphorus

Diphosphorus
Names
IUPAC name
Diphosphorus
Systematic IUPAC name
Diphosphyne[1]
Identifiers
12185-09-0 YesY
3D model (Jmol) Interactive image
ChEBI CHEBI:33472 YesY
ChemSpider 4574176 YesY
1400241
PubChem 5460700
Properties
P2
Molar mass 61.95 g·mol−1
Except where otherwise noted, data are given for materials in their standard state (at 25 °C [77 °F], 100 kPa).
YesY verify (what is YesYN ?)
Infobox references

Diphosphorus is an inorganic chemical with the chemical formula P
2
. Unlike its nitrogen group neighbor nitrogen, which forms a stable N2 molecule with a nitrogen to nitrogen triple bond, phosphorus prefers a tetrahedral form P4 because P-P pi-bonds are high in energy. Diphosphorus is, therefore, very reactive with a bond-dissociation energy (117 kcal/mol or 490 kJ/mol) half that of dinitrogen. The bond distance has been measured at 1.8934 Å.[2]

Diphosphorus has been generated by heating white phosphorus at 1100 kelvins. Nevertheless, some advancements have been obtained in generating the diatomic molecule in homogeneous solution under normal conditions with the use of some transition metal complexes (based on, for example, tungsten and niobium).[3]

The molecule attracted attention in 2006, when a new method for its synthesis at milder temperatures emerged.[3]

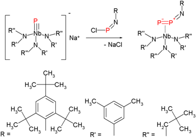
This method is a variation on nitrogen expulsion in azides with formation of a nitrene. The synthesis of the diphosphorus precursor consists of reacting a terminal niobium phosphide with a chloroiminophosphane:

Heating this compound at 50 °C in 1,3-cyclohexadiene serving as a solvent and as a trapping reagent expulses diphosphorus, which is reactive, as it is forms a double Diels-Alder adduct and the niobium imido compound:

The same imido compound also forms when the thermolysis is performed in toluene but then the fate of diphosphorus is unknown.

P2 has been suggested to form as an intermediate in the photolysis of P4[4] and in the presence of 2,3-dimethyl-1,3-butadiene the diphosphane is again formed.[5] To date, no direct evidence of P2 formation via P4 photolysis exists.

The generation of diphosphorus from a diphosphorus bisanthracene adduct has been reported. [6] The synthesis of a stabilized HP2+ cation has been reported [7]

References

  1. "Diphosphorus (CHEBI:33472)". Chemical Entities of Biological Interest (ChEBI). UK: European Bioinformatics Institute.
  2. Huber, K. P.; Herzberg, G. (1979). Molecular Spectra and Molecular Structure. IV: Constants of Diatomic Molecules. New York: Van Nostrand. ISBN 0442233949.
  3. 1 2 Piro, Nicholas A.; Figueroa, Joshua S.; McKellar, Jessica T.; Cumnins, Christopher C. (1 September 2006). "Triple-Bond Reactivity of Diphosphorus Molecules". Science. 313 (5791): 1276–1279. Bibcode:2006Sci...313.1276P. doi:10.1126/science.1129630. PMID 16946068. Retrieved 21 July 2013.
  4. Rathenau, G. (June 1937). "Optische und photochemische versuche mit phosphor" [Optical and photochemical trials with phosphorus]. Physica (in German). 4 (6): 503–514. Bibcode:1937Phy.....4..503R. doi:10.1016/S0031-8914(37)80084-1. Retrieved 21 July 2013.
  5. Tofan, Daniel; Cummins, Christopher C. (26 August 2010). "Photochemical incorporation of diphosphorus units into organic molecules". Angewandte Chemie International Edition. 49 (41): 7516–7518. doi:10.1002/anie.201004385. Retrieved 21 July 2013.
  6. A Retro Diels–Alder Route to Diphosphorus Chemistry: Molecular Precursor Synthesis, Kinetics of P2 Transfer to 1,3-Dienes, and Detection of P2 by Molecular Beam Mass Spectrometry Alexandra Velian, Matthew Nava, Manuel Temprado, Yan Zhou, Robert W. Field, and Christopher C. Cummins Journal of the American Chemical Society 2014 136 (39), 13586-13589 doi:10.1021/ja507922x
  7. Protonation of carbene-stabilized diphosphorus: complexation of HP2+ Yuzhong Wang, Hunter P. Hickox, Yaoming Xie, Pingrong Wei, Dongtao Cui, Melody R. Walter, Henry F. Schaefer III and Gregory H. Robinson Chem. Commun., 2016, doi:10.1039/C6CC01759B
This article is issued from Wikipedia - version of the 10/28/2016. The text is available under the Creative Commons Attribution/Share Alike but additional terms may apply for the media files.