Dodecahedrane
| |||
| Names | |||
|---|---|---|---|
| IUPAC name
[5]fullerane-C20-Ih | |||
| Identifiers | |||
| 4493-23-6 | |||
| 3D model (Jmol) | Interactive image Interactive image | ||
| ChEBI | CHEBI:33013 | ||
| ChemSpider | 109833 | ||
| PubChem | 123218 | ||
| |||
| |||
| Properties | |||
| C20H20 | |||
| Molar mass | 260.38 g·mol−1 | ||
| Melting point | 430±10°C [1] | ||
| Related compounds | |||
| Related hydrocarbons |
Cubane Tetrahedrane Pagodane (an isomer of dodecahedrane) Prismane | ||
| Except where otherwise noted, data are given for materials in their standard state (at 25 °C [77 °F], 100 kPa). | |||
| | |||
| Infobox references | |||
Dodecahedrane is a chemical compound (C20H20) first synthesised by Leo Paquette of Ohio State University in 1982, primarily for the "aesthetically pleasing symmetry of the dodecahedral framework".[2] It is the simplest hydrocarbon with full icosahedral symmetry.
In this molecule,[3] each vertex is a carbon atom that bonds to three neighbouring carbon atoms. The 108° angle of each regular pentagon is close to the ideal bond angle of 109.5° for an sp3 hybridised atom. Each carbon atom is bonded to a hydrogen atom as well. The molecule, like fullerene, has Ih symmetry, evidenced by its proton NMR spectrum in which all hydrogen atoms appear at a single chemical shift of 3.38 ppm. Dodecahedrane is one of the Platonic hydrocarbons, the others being cubane and tetrahedrane, and does not occur in nature.
Total synthesis
For over 30 years, several research groups actively pursued the total synthesis of dodecahedrane. A review article published in 1978 just dealt with the different strategies that existed up to then.[4] The first attempt was initiated in 1964 by R.B. Woodward with the synthesis of the compound triquinacene which was thought to be able to simply dimerize to dodecahedrane. While Paquette´s group was the first to synthesize dodecahedrane, it was the Prinzbach group who found a much more versatile approach to dodecahedrane via the pagodane route (see below). Other groups were also in the race, for example that of Philip Eaton and Paul von Ragué Schleyer, yet, the task to reach the summit was reserved for the Paquette and Prinzbach teams.
Paquette's 1982 organic synthesis takes about 29 steps with raw materials cyclopentadiene (2 equivalents 10 carbon atoms), dimethyl acetylenedicarboxylate (4 carbon atoms) and allyltrimethylsilane (2 equivalents, 6 carbon atoms).
In the first leg of the procedure [5] two molecules of cyclopentadiene 1 are coupled together by reaction with elemental sodium (forming the cyclopentadienyl complex) and iodine to dihydrofulvalene 2. Next up is a tandem Diels–Alder reaction with dimethyl acetylenedicarboxylate 3 with desired sequence pentadiene-acetylene-pentadiene as in symmetrical adduct 4. An equal amount of asymmetric pentadiene-pentadiene-acetylene compound (4b) is formed and discarded.


Dodecahedrane synthesis part I Dodecahedrane synthesis part II
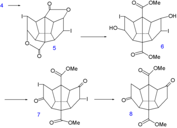
In the next step of the sequence [6] iodine is temporarily introduced via an iodolactonization of the diacid of 4 to dilactone 5. The ester group is cleaved next by methanol to the halohydrin 6, the alcohol groups converted to ketone groups in 7 by Jones oxidation and the iodine groups reduced by a zinc-copper couple in 8.


Dodecahedrane synthesis part III Dodecahedrane synthesis part IV
The final 6 carbon atoms are inserted in a nucleophilic addition to the ketone groups of the carbanion 10 generated from allyltrimethylsilane 9 and n-butyllithium. In the next step the vinyl silane 11 reacts with peracetic acid in acetic acid in a radical substitution to the dilactone 12 followed by an intramolecular Friedel-Crafts alkylation with phosphorus pentoxide to diketone 13. This molecule contains all required 20 carbon atoms and is also symmetrical which facilitates the construction of the remaining 5 carbon-carbon bonds.
Reduction of the double bonds in 13 to 14 is accomplished with hydrogenation with palladium on carbon and that of the ketone groups to alcohol groups in 15 by sodium borohydride. Replacement of hydroxyl by chlorine in 17 via nucleophilic aliphatic substitution takes place through the dilactone 16 (tosyl chloride). The first C–C bond forming reaction is a kind of Birch alkylation (lithium, ammonia) with the immediate reaction product trapped with chloromethyl phenyl ether,[7] the other chlorine atom in 17 is simply reduced. This temporary appendix will in a later stage prevent unwanted enolization. The newly formed ketone group then forms another C–C bond by photochemical Norrish reaction to 19 whose alcohol group is induced to eliminate with TsOH to alkene 20.


Dodecahedrane synthesis part V Dodecahedrane synthesis part VI
The double bond is reduced with hydrazine and sequential diisobutylaluminum hydride reduction and pyridinium chlorochromate oxidation of 21 forms the aldehyde 22. A second Norrish reaction then adds another C–C bond to alcohol 23 and having served its purpose the phenoxy tail is removed in several steps: a Birch reduction to diol 24, oxidation with pyridinium chlorochromate to ketoaldehyde 25 and a reverse Claisen condensation to ketone 26. A third Norrish reaction produces alcohol 27 and a second dehydration 28 and another reduction 29 at which point the synthesis is left completely without functional groups. The missing C-C bond is put in place by hydrogen pressurized dehydrogenation with palladium on carbon at 250 °C to dodecahedrane 30.
Synthesis from pagodane
In 1987 an alternative synthesis route was found by the Prinzbach group, through the isomer pagodane. [8] [9] Pagodane, obtained from isodrin as starting material i.a. through [6+6]photocycloaddition, was thought to be a suitable candidate for isomerization to dodecahedrane similar to Schleyer´s approach to adamantane. Joint efforts of the Prinzbach team and the Schleyer group succeeded in 8% yield for the conversion at best. In the following decade the pagodane route was optimized by the Prinzbach group over and over again and finally allowed to access not only dodecahedrane in multi-gram quantities but - more importantly - to selectively incorporate substitution and unsaturation. Highlights of the study of different pagodane and dodecahedrane derivatives were the discovery of σ-bishomoaromaticity [10] and the formation of C20 fullerene from highly brominated dodecahedrane species.[11] A final summary of the Prinzbach group´s contributions - including the over-and-over optimized pagodane route to dodecahedrane - can be found in Prinzbach´s 2006 paper on C20 clusters.[12] In the optimized dodecahedrane synthesis the low-yielding isomerization of parent pagodane to dodecahedrane is replaced by a longer but higher yielding sequence - which nevertheless still relies heavily on pagodane derivatives, cf. the following scheme (the scheme diverges from the pagodane synthesis after compound 16).
Optimized route to dodecahedrane
Encapsulating atoms
The practice of encapsulating atoms and small molecules inside of caged structures is a practice of chemists aimed at altering the properties of the parent structure, and of testing hypothesis about chemical structure and dynamics. Chemists have accomplished such with dodecahedrane by shooting helium ions (He+) at a film of C20H20; Cross, Saunders and Prinzbach obtain microgram quantities of "He@C20H20"—the nomenclature for one helium atom trapped inside one molecule of dodecahedrane—a substance described as quite stable.[13] The result has been described as the world's smallest helium balloon.
Derivatives
A variety of dodecahedrane derivatives have been synthesized and reported in the literature. Substitution of all 20 hydrogens by fluorine atoms yields the relatively unstable perfluorododecahedrane C20F20, which was obtained in milligram quantities by Wahl and others (2006).[12] Trace amounts of the analogous perchlorododecahedrane C20Cl20 were obtained, among other partially chlorinated derivatives, by reacting C20H20 dissolved in liquid chlorine under pressure at about 140 °C and under intense light for five days. Complete replacement by heavier halogens seems increasingly difficult due to their larger size. Half or more of the hydrogen atoms can be substituted by hydroxyl groups to yield polyols, but the extreme compound C20(OH)20 remained elusive as of 2006.[14]
Also, there are some theoretical studies on the possibility of functionalization of C20 fullerene and its derivatives via a catalyst and solvent-free 1,3-dipolar[15][16] and also Diels–Alder reactions.[17][18] Annelated dodecahedrane structures have been proposed.[19][20]
References
- ↑ https://books.google.com.ru/books?id=r0s-xE-Ym0gC&pg=PA199&lpg=PA199&dq=dodecahedrane+melting+point+430&source=bl&ots=MSxcNWOqnA&sig=fRce2c-T642sbA5fa1IS36wB6UY&hl=en&sa=X&ved=0ahUKEwjz2oLW4KrPAhWHMo8KHSRPBPUQ6AEIIzAB#v=onepage&q=dodecahedrane%20melting%20point%20430&f=false
- ↑ Ternansky, Robert J.; Balogh, Douglas W.; Paquette, Leo A. (1982). "Dodecahedrane". J. Am. Chem. Soc. 104 (16): 4503–4504. doi:10.1021/ja00380a040.
- ↑ IUPAC name: hexadecahydro-5,2,1,6,3,4-[2,3]butanediyl[1,4]diylidenedipentaleno[2,1,6-cde:2′,1′,6′-gha]pentalene CAS number: 4493-23-6
- ↑ Eaton, Philip E. (1979). "Towards dodecahedrane". Tetrahedron. 35 (19): 2189–2223. doi:10.1016/0040-4020(79)80114-3.
- ↑ Paquette, Leo A.; Wyvratt, Matthew J. (1974). "Domino Diels–Alder reactions. I. Applications to the rapid construction of polyfused cyclopentanoid systems". J. Am. Chem. Soc. 96 (14): 4671–4673. doi:10.1021/ja00821a052.
- ↑ Paquette, Leo A.; Wyvratt, Matthew J.; Schallner, Otto; Muthard, Jean L.; Begley, William J.; Blankenship, Robert M.; Balogh, Douglas (1979). "Topologically spherical molecules. Synthesis of a pair of C2-symmetric hexaquinane dilactones and insights into their chemical reactivity. An efficient π-mediated 1,6-dicarbonyl reduction". J. Org. Chem. 44 (21): 3616–3630. doi:10.1021/jo01335a003.
- ↑ Paquette, Leo A.; Ternansky, Robert J.; Balogh, Douglas W.; Kentgen, Gary (1983). "Total synthesis of dodecahedrane". J. Am. Chem. Soc. 105 (16): 5446–5450. doi:10.1021/ja00354a043.
- ↑ Fessner, Wolf-Dieter; Murty, Bulusu A. R. C.; Prinzbach, Horst (1987). "The Pagodane Route to Dodecahedranes – Thermal, Reductive, and Oxidative Transformations of Pagodanes". Angew. Chem. Int. Ed. Engl. 26 (5): 451–452. doi:10.1002/anie.198704511.
- ↑ Fessner, Wolf-Dieter; Murty, Bulusu A. R. C.; Wörth, Jürgen; Hunkler, Dieter; Fritz, Hans; Prinzbach, Horst; Roth, Wolfgang D.; Schleyer, Paul von Ragué; McEwen, Alan B.; Maier, Wilhelm F. (1987). "Dodecahedranes from [1.1.1.1]Pagodanes". Angew. Chem. Int. Ed. Engl. 26 (5): 452–454. doi:10.1002/anie.198704521.
- ↑ Prakash, G. K. S.; Krishnamurthy, V. V.; Herges, R.; Bau, R.; Yuan, H.; Olah, G. A.; Fessner, W.-D.; Prinzbach, H. (1988). "[1.1.1.1]- and [2.2.1.1]Pagodane Dications: Frozen Two-Electron Woodward–Hoffmann Transition State Models". J. Am. Chem. Soc. 110: 7764–7772. doi:10.1021/ja00231a029.
- ↑ Prinzbach, Horst; Weiler, Andreas; Landenberger, Peter; Wahl, Fabian; Wörth, Jürgen; Scott, Lawrence T.; Gelmont, Marc; Olevano, Daniela; Issendorff, Bernd von (7 September 2000). "Gas-phase production and photoelectron spectroscopy of the smallest fullerene, C20". Nature. 407: 60–63. doi:10.1038/35024037.
- 1 2 Prinzbach, H.; Wahl, F.; Weiler, A.; Landenberger, P.; Wörth, J.; Scott, L. T.; Gelmont, M.; Olevano, D.; Sommer, F.; Issendorff, B. von (2006). "C20 Carbon Clusters: Fullerene–Boat–Sheet Generation, Mass Selection, PE Characterization". Chem. Eur. J. 12: 6268–6280. doi:10.1002/chem.200501611.
- ↑ Cross, R. James; Saunders, Martin; Prinzbach, Horst (1999). "Putting Helium Inside Dodecahedrane". Org. Lett. 1 (9): 1479–1481. doi:10.1021/ol991037v.
- ↑ Wahl, Fabian; Weiler, Andreas; Landenberger, Peter; Sackers, Emmerich; Voss, Torsten; Haas, Alois; Lieb, Max; Hunkler, Dieter; Wörth,, Jürgen; Knothe, Lothar; Prinzbach, Horst (2006). "Towards Perfunctionalized Dodecahedranes—En Route to C20 Fullerene". Chem. Eur. J. 12: 6255–6267. doi:10.1002/chem.200501618.
- ↑ Siadati, Seyyed Amir; Mirabi, Ali (2013). "A DFT study on the functionalization of C20 Fullerene via its 1,3-dipolar cycloaddition with 4-pyridine nitrile oxide" (PDF). Iran. J. Org. Chem. 5: 1099–1102.
- ↑ Siadati, Seyyed Amir; Alinezhad, Miaad (2015). "A theoretical study on the functionalisation process of C18NB fullerene through its open [5,5] cycloaddition with 4-pyridine nitrile oxide". Progr. React. Kin. Mech. 40: 169–176. doi:10.3184/146867815X14262612008408.
- ↑ Siadati, Seyyed Amir (2016). "A Theoretical Study on the Possibility of Functionalization of C20 Fullerene Via Its Diels–Alder Reaction with 1,3-Butadiene". Lett. Org. Chem. 13: 2–6. doi:10.2174/1570178612666151002002526.
- ↑ Siadati, Seyyed Amir; Mirabi, Ali (2015). "Diels–Alder versus 1,3-dipolar cycloaddition pathways in the reaction of C20 fullerene and 2-furan nitrile oxide". Progr. React. Kin. Mech. 40: 383–390. doi:10.3184/146867815X14413752286065.
- ↑ Banfalvia, Gaspar (2014). "Dodecahedrane minibead polymers". RSC Adv. 4: 3003-3008. doi:10.1039/C3RA43628D.
- ↑ Liu, Feng-Ling (26 July 2004). "DFT study on a molecule C25H20 with a dodecahedrane cage and a pentaprismane cage sharing the same pentagon". J. Mol. Struct.: Theochem. 681 (1–3): 51–55. doi:10.1016/j.theochem.2004.04.051.
External links
- Paquette's dodecahedrane synthesis at SynArchive.com
- 2D and 3D models of dodecahedrane and cuneane assemblies
- Full text of Paquette's paper

