Doebner reaction
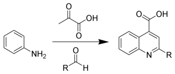
The Doebner reaction is the chemical reaction of an aniline with an aldehyde and pyruvic acid to form quinoline-4-carboxylic acids.[1][2]

References
- ↑ Doebner, O. Ann. 1887, 242 & 265.
- ↑ Bergstrom, F. W. Chem. Rev. 1944, 35, 156. (Review)
See also
This article is issued from Wikipedia - version of the 3/1/2013. The text is available under the Creative Commons Attribution/Share Alike but additional terms may apply for the media files.