Eilenberg's inequality
Eilenberg's inequality is a mathematical inequality for Lipschitz-continuous functions.
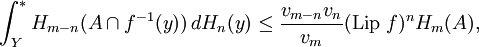
Let ƒ : X → Y be a Lipschitz-continuous function between separable metric spaces whose Lipschitz constant is denoted by Lip ƒ. Then, Eilenberg's inequality states that
for any A ⊂ X and all 0 ≤ n ≤ m, where
- the asterisk denotes the upper Lebesgue integral,
- vn is the volume of the unit ball in Rn,
- Hn is the n-dimensional Hausdorff measure.
References
- Yu. D. Burago and V. A. Zalgaller, Geometric inequalities. Translated from the Russian by A. B. Sosinskiĭ. Springer-Verlag, Berlin, 1988. ISBN 3-540-13615-0.
This article is issued from Wikipedia - version of the 2/15/2012. The text is available under the Creative Commons Attribution/Share Alike but additional terms may apply for the media files.
