Osazone

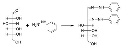
Osazones are a class of carbohydrate derivatives found in organic chemistry formed when sugars are reacted with excess of phenylhydrazine.[1] The famous German chemist Emil Fischer[2] developed and used the reaction to identify sugars whose stereochemistry differed by only one chiral carbon.[3][4] The reaction involves formation of a pair of phenylhydrazone functionalities, concomitant with the oxidation of the hydroxymethylene group adjacent to the formyl center. The reaction can be used to identify monosaccharides. It involves two reactions. Firstly glucose with phenylhydrazine gives glucosephenylhydrazone by elimination of a water molecule from the functional group. The next step involves reaction of one equivalent of glucosephenylhydrazone with two equivalents of phenylhydrazine (excess). First phenylhydrazine is involved in oxidizing the alpha carbon to a carbonyl group, and the second phenylhydrazine involves in removal of one water molecule with the formyl group of that oxidized carbon and forming the similar carbon nitrogen bond.[5] The alpha carbon is attacked here because its more reactive than the others. Osazones are highly coloured and crystalline compounds and can be easily detected. Glucose gives broomstick or needle shaped crystals with this whereas maltose gives sunflower shaped crystals.

References
- ↑ Mester, L.; El Khadem, H.; Horton, D. (1970). "Structure of saccharide osazones". Journal of the Chemical Society C: Organic (18): 2567. doi:10.1039/J39700002567.
- ↑ Helferich, B. (1953). "Emil Fischer zum 100. Geburtstag". Angewandte Chemie. 65 (2): 45. doi:10.1002/ange.19530650202.
- ↑ Fischer, Emil (1908). Berichte der deutschen chemischen Gesellschaft. 41: 73. doi:10.1002/cber.19080410120. Missing or empty
|title=(help) - ↑ Fischer, Emil (1894). "Ueber einige Osazone und Hydrazone der Zuckergruppe". Berichte der deutschen chemischen Gesellschaft. 27 (2): 2486. doi:10.1002/cber.189402702249.
- ↑ Barry, VINCENT C.; Mitchell, PW (1955). "Mechanism of Osazone Formation". Nature. 175 (4448): 220. Bibcode:1955Natur.175..220B. doi:10.1038/175220a0. PMID 13235861.