Flavanol-anthocyanin adduct

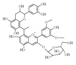
Chemical structure of malvidin glucoside-ethyl-catechin, a type of flavanol-anthocyanin adduct

Flavanol-anthocyanin adducts are formed during wine ageing through reactions between anthocyanins and tannins present in grape, with yeast metabolites such as acetaldehyde. Acetaldehyde-induced reactions yield ethyl-linked species such as malvidin glucoside-ethyl-catechin.[1][2]

This type of compound has a better color stability at pH 5.5 than normal anthocyanins. When the pH was increased from 2.2 to 5.5, the solution of the pigment became progressively more violet (λmax = 560 nm at pH 5.5), whereas similar solutions of the anthocyanin were almost colorless at pH 4.0.[3]

References

  1. Morata, A; González, C; Suárez-Lepe, JA (2007). "Formation of vinylphenolic pyranoanthocyanins by selected yeasts fermenting red grape musts supplemented with hydroxycinnamic acids". International Journal of Food Microbiology. 116 (1): 144–52. doi:10.1016/j.ijfoodmicro.2006.12.032. PMID 17303275.
  2. Asenstorfer, Robert E.; Lee, David F.; Jones, Graham P. (2006). "Influence of structure on the ionisation constants of anthocyanin and anthocyanin-like wine pigments". Analytica Chimica Acta. 563: 10–14. doi:10.1016/j.aca.2005.09.040.
  3. Escribano-Bailón, Teresa; Álvarez-García, Marta; Rivas-Gonzalo, Julian C.; Heredia, Francisco J.; Santos-Buelga, Celestino (2001). "Color and Stability of Pigments Derived from the Acetaldehyde-Mediated Condensation between Malvidin 3-O-Glucoside and (+)-Catechin". Journal of Agricultural and Food Chemistry. 49 (3): 1213–7. doi:10.1021/jf001081l. PMID 11312838.

See also


This article is issued from Wikipedia - version of the 1/29/2016. The text is available under the Creative Commons Attribution/Share Alike but additional terms may apply for the media files.