Formose reaction
The formose reaction, discovered by Aleksandr Butlerov in 1861,[1][2] involves the formation of sugars from formaldehyde. The term formose is a portmanteau of formaldehyde and aldose.
Reaction and mechanism
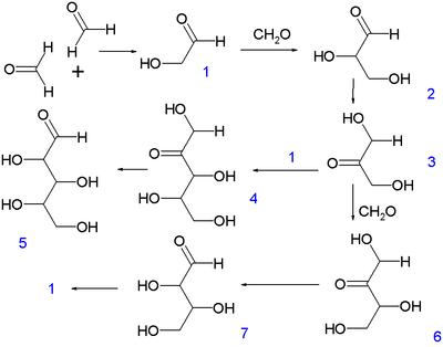
The reaction is catalyzed by a base and a divalent metal such as calcium. The intermediary steps taking place are aldol reactions, reverse Aldol reactions, and aldose-ketose isomerizations. Intermediates are glycolaldehyde, glyceraldehyde, dihydroxyacetone, and tetrose sugars. In 1959, Breslow proposed a mechanism for the reaction, consisting of the following steps:[3]

The reaction begins with two formaldehyde molecules condensing to make glycolaldehyde 1 which further reacts in an aldol reaction with another equivalent of formaldehyde to make glyceraldehyde 2. An aldose-ketose isomerization of 2 forms dihydroxyacetone 3 which can react with 1 to form ribulose 4, and through another isomerization ribose 5. Molecule 3 also can react with formaldehyde to produce tetrulose 6 and then aldoltetrose 7. Molecule 7 can split into 2 in a retro-aldol reaction.
Significance
The formose reaction is of great importance to the question of the origin of life as it explains part of the path from simple formaldehyde to complex sugars like ribose and from there to RNA. In one experiment simulating early Earth conditions, pentoses formed from mixtures of formaldehyde, glyceraldehyde, and borate minerals such as colemanite (Ca2B6O115H2O) or kernite (Na2B4O7).[4] Both formaldehyde and glycolaldehyde have been observed spectroscopically in outer space, making the formose reaction of particular interest to the field of astrobiology.
References
- ↑ A. Boutlerow (1861) "Formation synthétique d'une substance sucrée" (Synthetic formation of a sugary substance), Comptes rendus ... 53: 145-147. Reprinted in German as: Butlerow, A. (1861), "Bildung einer zuckerartigen Substanz durch Synthese" (Formation of a sugar-like substance by synthesis), Justus Liebigs Annalen der Chemie, 120: 295-298.
- ↑ Orgel, Leslie E. (2000). "Self-organizing biochemical cycles". PNAS. 97 (23): 12503–12507. Bibcode:2000PNAS...9712503O. doi:10.1073/pnas.220406697. PMC 18793
. PMID 11058157. - ↑ Breslow, R. (1959). "On the Mechanism of the Formose Reaction". Tetrahedron Letters. 1 (21): 22–26. doi:10.1016/S0040-4039(01)99487-0.
- ↑ Ricardo, A.; et al. (2004). "Borate Minerals Stabilize Ribose". Science. 303 (5655): 196. doi:10.1126/science.1092464. PMID 14716004.