Prime gap

A prime gap is the difference between two successive prime numbers. The n-th prime gap, denoted gn or g(pn) is the difference between the (n + 1)-th and the n-th prime numbers, i.e.
We have g1 = 1, g2 = g3 = 2, and g4 = 4. The sequence (gn) of prime gaps has been extensively studied, however many questions and conjectures remain unanswered.
The first 60 prime gaps are:
- 1, 2, 2, 4, 2, 4, 2, 4, 6, 2, 6, 4, 2, 4, 6, 6, 2, 6, 4, 2, 6, 4, 6, 8, 4, 2, 4, 2, 4, 14, 4, 6, 2, 10, 2, 6, 6, 4, 6, 6, 2, 10, 2, 4, 2, 12, 12, 4, 2, 4, 6, 2, 10, 6, 6, 6, 2, 6, 4, 2, ... (sequence A001223 in the OEIS).
By the definition of gn every prime can be written as
Simple observations
The first, smallest, and only odd prime gap is 1 between the only even prime number, 2, and the first odd prime, 3. All other prime gaps are even. There is only one pair of gaps between three consecutive odd natural numbers for which all are prime. These gaps are g2 and g3 between the primes 3, 5, and 7.
For any prime number P, we write P# for P primorial, that is, the product of all prime numbers up to and including P. If Q is the prime number following P, then the sequence
is a sequence of Q − 2 consecutive composite integers, so here there is a prime gap of at least length Q − 1. Therefore, there exist gaps between primes that are arbitrarily large, i.e., for any prime number P, there is an integer n with gn ≥ P. (This is seen by choosing n so that pn is the greatest prime number less than P# + 2.) Another way to see that arbitrarily large prime gaps must exist is the fact that the density of primes approaches zero, according to the prime number theorem. In fact, by this theorem, P# is very roughly a number the size of exp(P), and near exp(P) the average distance between consecutive primes is P.
In reality, prime gaps of P numbers can occur at numbers much smaller than P#. For instance, the smallest sequence of 71 consecutive composite numbers occurs between 31398 and 31468, whereas 71# has twenty-seven digits – its full decimal expansion being 557940830126698960967415390.
Although the average gap between primes increases as the natural logarithm of the integer, the ratio of the maximum prime gap to the integers involved also increases as larger and larger numbers and gaps are encountered.
In the opposite direction, the twin prime conjecture asserts that gn = 2 for infinitely many integers n.
Numerical results
As of 2016 the largest known prime gap with identified probable prime gap ends has length 4680156, with 99750-digit probable primes found by Martin Raab. This gap has merit M=20.3767 The largest known prime gap with identified proven primes as gap ends has length 1113106, with 18662-digit primes found by P. Cami, M. Jansen and J. K. Andersen.[2][3]
We say that gn is a maximal gap, if gm < gn for all m < n.
As of August 2016 the largest known maximal gap has length 1476, found by Tomás Oliveira e Silva. It is the 75th maximal gap, and it occurs after the prime 1425172824437699411.[4] Other record maximal gap terms can be found at
A002386.
Usually the ratio of gn / ln(pn) is called the merit of the gap gn . In 1931, E. Westzynthius proved that prime gaps grow more than logarithmically. That is,[5]
| Merit | gn | digits | pn | Date | Discoverer |
|---|---|---|---|---|---|
| 36.858288 | 10716 | 127 | 7910896513*283#/30 - 6480 | 2016 | Dana Jacobsen |
| 36.590183 | 13692 | 163 | 1037600971*383#/210 - 8776 | 2016 | Dana Jacobsen |
| 36.420568 | 26892 | 321 | 59740589*757#/210 - 14302 | 2016 | Dana Jacobsen |
| 35.424459 | 66520 | 816 | 1931*1933#/7230 - 30244 | 2012 | Michiel Jansen |
| 35.310308 | 1476 | 19 | 1425172824437699411 | 2009 | Tomás Oliveira e Silva |
As of November 2016, the largest known merit value, as discovered by D. Jacobsen, is 10716 / ln(7910896513*283#/30 - 6480) ≈ 36.858288 where 283# indicates the primorial of 283.[6] The endpoints are 127-digit primes.
The Cramér–Shanks–Granville ratio is the ratio of gn / (ln(pn))^2.[6] The greatest known value of this ratio is 0.9206386 for the prime 1693182318746371. Other record terms can be found at
A111943.
|
|
|
Further results
Upper bounds
Bertrand's postulate, proved in 1852, states that there is always a prime number between k and 2k, so in particular pn+1 < 2pn, which means gn < pn.
The prime number theorem, proved in 1896, says that the "average length" of the gap between a prime p and the next prime is ln(p). The actual length of the gap might be much more or less than this. However, from the prime number theorem one can also deduce an upper bound on the length of prime gaps: for every ε > 0, there is a number N such that gn < εpn for all n > N.
One can deduce that the gaps get arbitrarily smaller in proportion to the primes: the quotient
Hoheisel (1930) was the first to show[9] that there exists a constant θ < 1 such that
hence showing that
for sufficiently large n.
Hoheisel obtained the possible value 32999/33000 for θ. This was improved to 249/250 by Heilbronn,[10] and to θ = 3/4 + ε, for any ε > 0, by Chudakov.[11]
A major improvement is due to Ingham,[12] who showed that if
for some positive constant c, where O refers to the big O notation, then
for any θ > (1 + 4c)/(2 + 4c). Here, as usual, ζ denotes the Riemann zeta function and π the prime-counting function. Knowing that any c > 1/6 is admissible, one obtains that θ may be any number greater than 5/8.
An immediate consequence of Ingham's result is that there is always a prime number between n3 and (n + 1)3, if n is sufficiently large.[13] The Lindelöf hypothesis would imply that Ingham's formula holds for c any positive number: but even this would not be enough to imply that there is a prime number between n2 and (n + 1)2 for n sufficiently large (see Legendre's conjecture). To verify this, a stronger result such as Cramér's conjecture would be needed.
Huxley in 1972 showed that one may choose θ = 7/12 = 0.58(3).[14]
A result, due to Baker, Harman and Pintz in 2001, shows that θ may be taken to be 0.525.[15]
In 2005, Daniel Goldston, János Pintz and Cem Yıldırım proved that
and 2 years later improved it[16] to
In 2013, Yitang Zhang proved that
meaning that there are infinitely many gaps that do not exceed 70 million.[17] A Polymath Project collaborative effort to optimize Zhang’s bound managed to lower the bound to 4680 on July 20, 2013.[18] In November 2013, James Maynard introduced a new refinement of the GPY sieve, allowing him to reduce the bound to 600 and show that for any m there exists a bounded interval containing m prime numbers.[19] Using Maynard's ideas, the Polymath project improved the bound to 246;[18][20] assuming the Elliott–Halberstam conjecture and its generalized form, N has been reduced to 12 and 6, respectively.[18]
Lower bounds
In 1938, Robert Rankin proved the existence of a constant c > 0 such that the inequality
holds for infinitely many values n, improving results by Erik Westzynthius and Paul Erdős. He later showed that one can take any constant c < eγ, where γ is the Euler–Mascheroni constant. The value of the constant c was improved in 1997 to any value less than 2eγ.[21]
Paul Erdős offered a $10,000 prize for a proof or disproof that the constant c in the above inequality may be taken arbitrarily large.[22] This was proved to be correct in 2014 by Ford–Green–Konyagin–Tao and, independently, James Maynard.[23][24]
The result was further improved to
for infinitely many values of n by Ford–Green–Konyagin–Maynard–Tao.[25]
Lower bounds for chains of primes have also been determined.[26]
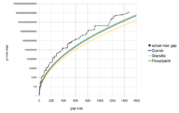
Conjectures about gaps between primes

Even better results are possible under the Riemann hypothesis. Harald Cramér proved[27] that the Riemann hypothesis implies the gap gn satisfies
using the big O notation. Later, he conjectured that the gaps are even smaller. Roughly speaking, Cramér's conjecture states that
Firoozbakht's conjecture states that (where is the nth prime) is a strictly decreasing function of n, i.e.,
If this conjecture is true, then the function satisfies [28] It implies a strong form of Cramér's conjecture but is inconsistent with the heuristics of Granville and Pintz[29][30][31] which suggest that infinitely often for any where denotes the Euler–Mascheroni constant.
Meanwhile, Oppermann's conjecture is weaker than Cramér's conjecture. The expected gap size with Oppermann's conjecture is on the order of
As a result, there is (under Oppermann's conjecture) m>0 (probably m=30) for which every natural n>m satisfies
Andrica's conjecture, which is a weaker conjecture than Oppermann's, states that[32]
This is a slight strengthening of Legendre's conjecture that between successive square numbers there is always a prime.
As an arithmetic function
The gap gn between the nth and (n + 1)st prime numbers is an example of an arithmetic function. In this context it is usually denoted dn and called the prime difference function.[32] The function is neither multiplicative nor additive.
See also
References
- ↑ "Hidden structure in the randomness of the prime number sequence?", S. Ares & M. Castro, 2005
- ↑ Andersen, Jens Kruse. "The Top-20 Prime Gaps". Retrieved 2014-06-13.
- ↑ A proven prime gap of 1113106
- ↑ Maximal Prime Gaps
- ↑ Westzynthius, E. (1931), "Über die Verteilung der Zahlen die zu den n ersten Primzahlen teilerfremd sind", Commentationes Physico-Mathematicae Helsingsfors (in German), 5: 1–37, JFM 57.0186.02, Zbl 0003.24601.
- 1 2 3 NEW PRIME GAP OF MAXIMUM KNOWN MERIT
- ↑ Dynamic prime gap statistics
- ↑ TABLES OF PRIME GAPS
- ↑ Hoheisel, G. (1930). "Primzahlprobleme in der Analysis". Sitzunsberichte der Königlich Preussischen Akademie der Wissenschaften zu Berlin. 33: 3–11. JFM 56.0172.02.
- ↑ Heilbronn, H. A. (1933). "Über den Primzahlsatz von Herrn Hoheisel". Mathematische Zeitschrift. 36 (1): 394–423. doi:10.1007/BF01188631.
- ↑ Tchudakoff, N. G. (1936). "On the difference between two neighboring prime numbers". Math. Sb. 1: 799–814.
- ↑ Ingham, A. E. (1937). "On the difference between consecutive primes". Quarterly Journal of Mathematics. Oxford Series. 8 (1): 255–266. doi:10.1093/qmath/os-8.1.255.
- ↑ Cheng, Yuan-You Fu-Rui (2010). "Explicit estimate on primes between consecutive cubes". Rocky Mt. J. Math. 40: 117–153. doi:10.1216/rmj-2010-40-1-117. Zbl 1201.11111.
- ↑ Huxley, M. N. (1972). "On the Difference between Consecutive Primes". Inventiones Mathematicae. 15 (2): 164–170. doi:10.1007/BF01418933.
- ↑ Baker, R. C.; Harman, G.; Pintz, J. (2001). "The difference between consecutive primes, II". Proceedings of the London Mathematical Society. 83 (3): 532–562. doi:10.1112/plms/83.3.532.
- ↑ Goldston, D. A.; Pintz, J.; Yildirim, C. Y. (2007). "Primes in Tuples II". arXiv:0710.2728
[math.NT]. - ↑ Zhang, Yitang (2014). "Bounded gaps between primes". Annals of Mathematics. 179 (3): 1121–1174. doi:10.4007/annals.2014.179.3.7. MR 3171761.
- 1 2 3 "Bounded gaps between primes". Polymath. Retrieved 2013-07-21.
- ↑ Maynard, James (2015). "Small gaps between primes". Annals of Mathematics. 181 (1): 383–413. doi:10.4007/annals.2015.181.1.7. MR 3272929.
- ↑ D.H.J. Polymath (2014). "Variants of the Selberg sieve, and bounded intervals containing many primes". Research in the Mathematical Sciences. 1 (12). arXiv:1407.4897
. doi:10.1186/s40687-014-0012-7. MR 3373710. - ↑ Pintz, J. (1997). "Very large gaps between consecutive primes". J. Number Theory. 63 (2): 286–301. doi:10.1006/jnth.1997.2081.
- ↑ Erdős, Some of my favourite unsolved problems
- ↑ Ford, Kevin; Green, Ben; Konyagin, Sergei; Tao, Terence (2016). "Large gaps between consecutive prime numbers". Ann. Of Math. 183 (3): 935–974. arXiv:1408.4505
. doi:10.4007/annals.2016.183.3.4. MR 3488740. - ↑ Maynard, James (2016). "Large gaps between primes". Ann. Of Math. 183 (3): 915–933. arXiv:1408.5110
. doi:10.4007/annals.2016.183.3.3. MR 3488739. - ↑ Ford, Kevin; Green, Ben; Konyagin, Sergei; Maynard, James; Tao, Terence (2015). "Long gaps between primes". arXiv:1412.5029
[math.NT]. - ↑ Ford, Kevin; Maynard, James; Tao, Terence (2015-10-13). "Chains of large gaps between primes". arXiv:1511.04468
[math.NT]. - ↑ Cramér, Harald (1936). "On the order of magnitude of the difference between consecutive prime numbers" (PDF). Acta Arithmetica. 2: 23–46.
- ↑ Sinha, Nilotpal Kanti (2010). "On a new property of primes that leads to a generalization of Cramer's conjecture". arXiv:1010.1399
[math.NT].. - ↑ Granville, A. (1995). "Harald Cramér and the distribution of prime numbers" (PDF). Scandinavian Actuarial Journal. 1: 12–28..
- ↑ Granville, Andrew (1995). "Unexpected irregularities in the distribution of prime numbers" (PDF). Proceedings of the International Congress of Mathematicians. 1: 388–399..
- ↑ Pintz, János (2007). "Cramér vs. Cramér: On Cramér's probabilistic model for primes". Funct. Approx. Comment. Math. 37 (2): 232–471.
- 1 2 Guy (2004) §A8
- Guy, Richard K. (2004). Unsolved problems in number theory (3rd ed.). Springer-Verlag. ISBN 978-0-387-20860-2. Zbl 1058.11001.
Further reading
- Soundararajan, Kannan (2007). "Small gaps between prime numbers: the work of Goldston-Pintz-Yıldırım". Bull. Am. Math. Soc., New Ser. 44 (1): 1–18. doi:10.1090/s0273-0979-06-01142-6. Zbl 1193.11086.
- Mihăilescu, Preda (June 2014). "On some conjectures in additive number theory" (PDF). Newsletter of the European Mathematical Society (92): 13–16. doi:10.4171/NEWS (inactive 2016-07-13). ISSN 1027-488X.
External links
- Thomas R. Nicely, Some Results of Computational Research in Prime Numbers -- Computational Number Theory. This reference web site includes a list of all first known occurrence prime gaps.
- Weisstein, Eric W. "Prime Difference Function". MathWorld.
- "Prime Difference Function". PlanetMath.
- Armin Shams, Re-extending Chebyshev's theorem about Bertrand's conjecture, does not involve an 'arbitrarily big' constant as some other reported results.
- Chris Caldwell, Gaps Between Primes; an elementary introduction
- www.primegaps.com A study of the gaps between consecutive prime numbers
- Andrew Granville, Primes in Intervals of Bounded Length; overview of the results obtained so far up to and including James Maynard's work of November 2013.