Glycopeptide
Glycopeptides are peptides that contain carbohydrate moieties (glycans) covalently attached to the side chains of the amino acid residues that constitute the peptide.
Over the past few decades it has been recognised that glycans on cell surface (attached to membrane proteins or lipids) and those bound to proteins (glycoproteins) play a critical role in biology. For example, these constructs have been shown to play important roles in fertilization,[1] the immune system,[2] brain development,[3] the endocrine system[3] and inflammation.[3][4][5]
The synthesis of glycopeptides provides biological probes for researchers to elucidate glycan function in nature and products that have useful therapeutic and biotechnological applications.
Glycopeptide Linkage Variety
N-Linked Glycans
N-linked glycans derive their name from the fact that the glycan is attached to an asparagine (Asn, N) residue, and are amongst the most common linkages found in nature. Although the majority of N-linked glycans take the form GlcNAc-β-Asn[6] other less common structural linkages such as GlcNac-α-Asn[7] and Glc-Asn[8] have been observed. In addition to their function in protein folding and cellular attachment, the N-liked glycans of a protein can modulate the protein's function, in some cases acting as an on-off switch.[5]

O-Linked Glycans
O-Linked glycans are formed by a linkage between an amino acid hydroxyl side chain (usually from serine or threonine) with the glycan. The majority of O-linked glycans take the form GlcNac-β-Ser/Thr or GalNac-α-Ser/Thr.[6]

C-Linked Glycans
Of the three linkages the least common and least understood are C-linked glycans. The C-linkage refers to the covalent attachement of mannose to a tryptophan residue. An example of a C-linked glycan is α-mannosyl tryptophan.[9]
Glycopeptide Synthesis
Several methods have been reported in the literature for the synthesis of glycopeptides. Of these methods the most common strategies are listed below.
Solid Phase Peptide Synthesis (SPPS)
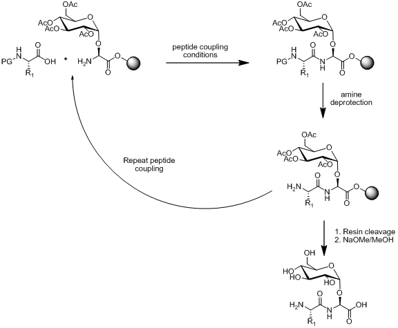
Within SPPS there exist two strategies for the synthesis of glycopeptides, linear and convergent assembly. Linear assembly relies on the synthesis of building blocks and then the use of SPPS to attach the building block together. An outline of this approach is illustrated below.

Several methods exist for the synthesis of monosaccharide amino acid building block as illustrated below.
Provided the monosaccharide amino acid building block is stable to peptide coupling conditions, amine deprotection conditions and resin cleavage. Linear assembly remains a popular strategy for the synthesis of glycopeptides with many examples in the literature.[12][13][14]
In the convergent assembly strategy a peptide chain and glycan residue are first synthesis separately. Then the glycan is glycosylated onto a specific residue of the peptide chain. This approach is not as popular as the linear strategy due to the poor reaction yields in the glycosylation step.[15]
Native Chemical Ligation (NCL)
Native chemical ligation, or NCL, is a convergent synthetic strategy based on the linear coupling of glycopeptide fragments. This technique makes use of the chemoselective reaction between a N-terminal cysteine residue on one peptide fragment with a thio-ester on the C-terminus of the other peptide fragment[16] as illustrated below.

Unlike standard SPPS (which is limited to 50 amino acid residue) NCL allows the construction of large glycopeptides. However the strategy is limited by the fact that it requires a cysteine residue at N-terminus, an amino acid residue that is rare in nature.[16] However this problem has partly been address by the selective desulfurization of the cysteine residue to an alanine.[17]
See also
References
- ↑ Talbot P.; Shur B. D.; Myles D. G. (2003). "Cell adhesion and fertilization: Steps in oocyte transport, sperm-zona pellucida interactions, and sperm-egg fusion". Biology of Reproduction. 68 (1): 1–9. doi:10.1095/biolreprod.102.007856.
- ↑ Rudd P. M.; Elliott T.; Cresswell P.; Wilson I. A.; Dwek R. A. (2001). "Glycosylation and the immune system". Science. 291 (5512): 2370–2376. doi:10.1126/science.291.5512.2370.
- 1 2 3 Varki A (1993). "Biological Roles of Oligosaccharides - All of the Theories Are Correct". Glycobiology. 3 (2): 97–130. doi:10.1093/glycob/3.2.97.
- ↑ Bertozzi C. R.; Kiessling L. L. (2001). "Chemical glycobiology". Science. 291 (5512): 2357–2364. doi:10.1126/science.1059820. PMID 11269316.
- 1 2 Maverakis E, Kim K, Shimoda M, Gershwin M, Patel F, Wilken R, Raychaudhuri S, Ruhaak LR, Lebrilla CB (2015). "Glycans in the immune system and The Altered Glycan Theory of Autoimmunity". J Autoimmun. 57 (6): 1–13. doi:10.1016/j.jaut.2014.12.002. PMC 4340844
. PMID 25578468. - 1 2 Vliegenthart J. F. G.; Casset F. (1998). "Novel forms of protein glycosylation". Current Opinion in Structural Biology. 8 (5): 565–571. doi:10.1016/s0959-440x(98)80145-0.
- ↑ Shibata S.; Takeda T.; Natori Y. (1988). "The Structure of Nephritogenoside - a Nephritogenic Glycopeptide with Alpha-N-Glycosidic Linkage". Journal of Biological Chemistry. 263 (25): 12483–12485.
- ↑ Wieland F.; Heitzer R.; Schaefer W. (1983). "Asparaginylglucose - Novel Type of Carbohydrate Linkage". Proceedings of the National Academy of Sciences of the United States of America. 80 (18): 5470–5474. doi:10.1073/pnas.80.18.5470.
- ↑ Debeer T.; Vliegenthart J. F. G.; Loffler A.; Hofsteenge J. (1995). "The Hexopyranosyl Residue That Is C-Glycosidically Linked to the Side-Chain of Tryptophan-7 in Human Rnase U-S Is Alpha-Marmopyranose". Biochemistry. 34 (37): 11785–11789. doi:10.1021/bi00037a016. PMID 7547911.
- ↑ Jansson A. M.; Meldal M.; Bock K. (1990). "The Active Ester N-Fmoc-3-O-[Ac4-Alpha-D-Manp-(1-]2)-Ac3-Alpha-D-Manp-1-]-Threonine-O-Pfp as a Building Block in Solid-Phase Synthesis of an O-Linked Dimannosyl Glycopeptide". Tetrahedron Letters. 31 (48): 6991–6994.
- ↑ Elofsson M.; Walse B.; Kihlberg J. (1991). "Building-Blocks for Glycopeptide Synthesis - Glycosylation of 3-Mercaptopropionic Acid and Fmoc Amino-Acids with Unprotected Carboxyl Groups". Tetrahedron Letters. 32 (51): 7613–7616. doi:10.1016/0040-4039(91)80548-k.
- ↑ Li H. G.; Li B.; Song H. J.; Breydo L.; Baskakov I. V.; Wang L. X. (2005). "Chemoenzymatic synthesis of HIV-1V3 glycopeptides carrying two N-glycans and effects of glycosylation on the peptide domain". Journal of Organic Chemistry. 70 (24): 9990–9996. doi:10.1021/jo051729z.
- ↑ Yamamoto N.; Takayanagi Y.; Yoshino A.; Sakakibara T.; Kajihara Y. (2007). "An approach for a synthesis of asparagine-linked sialylglycopeptides having intact and homogeneous complex-type undecadisialyloligosaccharides". Chemistry: A European Journal. 13 (2): 613–625. doi:10.1002/chem.200600179.
- ↑ Shao N.; Xue J.; Guo Z. W. (2003). "Chemical synthesis of CD52 glycopeptides containing the acid-labile fucosyl linkage". Journal of Organic Chemistry. 68 (23): 9003–9011. doi:10.1021/jo034773s.
- ↑ Gamblin D. P.; Scanlan E. M.; Davis B. G. (2009). "Glycoprotein Synthesis: An Update". Chemical Reviews. 109 (1): 131–163. doi:10.1021/cr078291i.
- 1 2 Nilsson B. L.; Soellner M. B.; Raines R. T. (2005). "Chemical synthesis of proteins". Annual Review of Biophysics and Biomolecular Structure. 34: 91–118. doi:10.1146/annurev.biophys.34.040204.144700. PMC 2845543
. PMID 15869385. - ↑ Wan Q.; Danishefsky S. J. (2007). "Free Radical Based, Specific Desulfurization of Cysteine: A Powerful Advance in the Synthesis of Polypeptides and Glycopolypeptides". Angew. Chem. 119: 9408–9412. doi:10.1002/ange.200704195.
Further reading
- Emanual Maverakis et. al. "Glycans in the immune system and The Altered Glycan Theory of Autoimmunity" (PDF).
