Kugel–Khomskii coupling
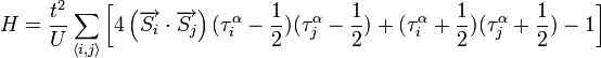
Kugel–Khomskii coupling describes a coupling between the spin and orbital degrees of freedom in a solid; it is named after the Russian physicists Kliment I. Kugel (Климент Ильич Кугель) and Daniel I. Khomskii (Daniil I. Khomskii, Даниил Ильич Хомский). The Hamiltonian used is:
![H=\frac{t^2}{U}\sum_{\langle i,j\rangle}\left[4\left(\overrightarrow{S_i}\cdot\overrightarrow{S_j}\right)(\tau_i^{\alpha}-\frac{1}{2})(\tau_j^{\alpha}-\frac{1}{2})+(\tau_i^{\alpha}+\frac{1}{2})(\tau_j^{\alpha}+\frac{1}{2})-1\right]](../I/m/90f80247abfb942b4ca0e4de14efac48.png)
References
- http://kotliar6.rutgers.edu/udo/prof/profd/papers/prb56_14243.pdf
- K. I. Kugel and D. I. Khomskii, Sov. Phys. Usp. 25, 231 (1982).
This article is issued from Wikipedia - version of the 3/9/2015. The text is available under the Creative Commons Attribution/Share Alike but additional terms may apply for the media files.