Carvone
![]() | |||
| |||
| Names | |||
|---|---|---|---|
| Preferred IUPAC name
2-Methyl-5-(prop-1-en-2-yl)cyclohex-2-en-1-one | |||
| Other names
2-Methyl-5-(prop-1-en-2-yl)cyclohex-2-enone 2-Methyl-5-(1-methylethenyl)-2-cyclohexenone[1] Δ6:8(9)-p-Menthadien-2-one 1-Methyl-4-isopropenyl-Δ6-cyclohexen-2-one Carvol (obsolete) | |||
| Identifiers | |||
| 99-49-0 (R/S) 6485-40-1 (R) 2244-16-8 (S) | |||
| 3D model (Jmol) | (R): Interactive image (S): Interactive image | ||
| ChEBI | CHEBI:38265 | ||
| ChEMBL | ChEMBL15676 | ||
| ChemSpider | 21106424 (R/S) 15855 (S) 388655 (R) | ||
| ECHA InfoCard | 100.002.508 | ||
| KEGG | C01767 | ||
| RTECS number | OS8650000 (R) OS8670000 (S) | ||
| UNII | 75GK9XIA8I (R/S) 5TO7X34D3D (R) 4RWC1CMS3X (S) | ||
| |||
| |||
| Properties | |||
| C10H14O | |||
| Molar mass | 150.22 g/mol | ||
| Appearance | Clear, colorless liquid | ||
| Density | 0.96 g/cm3 | ||
| Melting point | 25.2 °C (77.4 °F; 298.3 K) | ||
| Boiling point | 231 °C (448 °F; 504 K) (91 °C @ 5 mmHg) | ||
| Insoluble (cold) Slightly soluble (hot)/soluble in trace amounts | |||
| Solubility in Ethanol | soluble | ||
| Solubility in Diethyl ether | soluble | ||
| Solubility in Chloroform | soluble | ||
| Chiral rotation ([α]D) |
−61° (R)-Carvone 61° (S)-Carvone | ||
| Hazards | |||
| Main hazards | Flammable | ||
| Safety data sheet | External MSDS | ||
| R-phrases | R22 | ||
| S-phrases | S36 | ||
| NFPA 704 | |||
| Related compounds | |||
| Related ketone |
menthone dihydrocarvone carvomenthone | ||
| Related compounds |
limonene, menthol, p-cymene, carveol | ||
| Except where otherwise noted, data are given for materials in their standard state (at 25 °C [77 °F], 100 kPa). | |||
| | |||
| Infobox references | |||
Carvone is a member of a family of chemicals called terpenoids.[2] Carvone is found naturally in many essential oils, but is most abundant in the oils from seeds of caraway (Carum carvi), spearmint (Mentha spicata), and dill.[3]
Uses
Both carvones are used in the food and flavor industry.[3] R-(−)-Carvone is also used for air freshening products and, like many essential oils, oils containing carvones are used in aromatherapy and alternative medicine.
Food applications
As the compound most responsible for the flavor of caraway, dill and spearmint, carvone has been used for millennia in food.[3] Wrigley's Spearmint Gum and spearmint flavored Life Savers are major users of natural spearmint oil from Mentha spicata. Caraway seed is extracted with alcohol to make the European drink Kümmel.
Agriculture
S-(+)-Carvone is also used to prevent premature sprouting of potatoes during storage, being marketed in the Netherlands for this purpose under the name Talent.[3]
Insect control
(R)-(–)-Carvone has been proposed for use as a mosquito repellent, and the U.S. Environmental Protection Agency is reviewing a request to register it as a pesticide.[4]
Organic synthesis
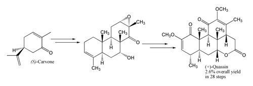
Carvone is available inexpensively in both enantiomerically pure forms, making it an attractive starting material for the asymmetric total synthesis of natural products. For example, (S)-(+)-carvone was used to begin a 1998 synthesis of the terpenoid quassin:[5]

Stereoisomerism and odor
Carvone forms two mirror image forms or enantiomers: R-(–)-carvone smells like spearmint leaves. Its mirror image, S-(+)-carvone, smells like caraway seeds.[6] The fact that the two enantiomers are perceived as smelling different is evidence that olfactory receptors must contain chiral groups, allowing them to respond more strongly to one enantiomer than to the other. Not all enantiomers have distinguishable odors. Squirrel monkeys have also been found to be able to discriminate between carvone enantiomers.[7]
The two forms are also referred to by the older names of laevo (L) referring to R-(–)-carvone, and dextro (D) referring to S-(+)-carvone.
Occurrence
S-(+)-Carvone is the principal constituent (60-70%) of the oil from caraway seeds (Carum carvi),[8] which is produced on a scale of about 10 tonnes per year.[3] It also occurs to the extent of about 40-60% in dill seed oil (from Anethum graveolens), and also in mandarin orange peel oil. R-(–)-Carvone is also the most abundant compound in the essential oil from several species of mint, particularly spearmint oil (Mentha spicata), which is composed of 50-80% R-(–)-carvone.[9] Spearmint is a major source of naturally produced R-(–)-carvone. However, the majority of R-(–)-carvone used in commercial applications is synthesized from R-(+)-limonene.[10] The R-(–)-carvone isomer also occurs in kuromoji oil. Some oils, like gingergrass oil, contain a mixture of both enantiomers. Many other natural oils, for example peppermint oil, contain trace quantities of carvones.
History
Caraway was used for medicinal purposes by the ancient Romans,[3] but carvone was probably not isolated as a pure compound until Franz Varrentrapp (1815-1877) obtained it in 1849.[2][11] It was originally called carvol by Schweizer. Goldschmidt and Zürrer identified it as a ketone related to limonene,[12] and the structure was finally elucidated by Georg Wagner (1849-1903) in 1894.[13]
Preparation
The dextro-form, S-(+)-carvone is obtained practically pure by the fractional distillation of caraway oil. The levo-form obtained from the oils containing it usually requires additional treatment to produce high purity R-(−)-carvone. This can be achieved by the formation an addition compound with hydrogen sulfide, from which carvone may be regenerated by treatment with potassium hydroxide in ethanol and then distilling the product in a current of steam. Carvone may be synthetically prepared from limonene via limonene nitrosochloride which may be formed by treatment of limonene with isoamyl nitrite in glacial acetic acid. This compound is then converted into carvoxime, which can be achieved by refluxing with DMF in isopropanol. Refluxing carvoxime with 5% oxalic acid yields carvone.[14] This procedure affords R-(−)-carvone from R-(+)-limonene. The major use of d-limonene is as a precursor to S-(+)-carvone. The large scale availability of orange rinds, a byproduct in the production of orange juice, has made limonene cheaply available, and synthetic carvone correspondingly inexpensively prepared.[15]
The biosynthesis of carvone is by oxidation of limonene.
Chemical properties
Reduction
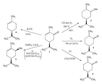
There are three double bonds in carvone capable of reduction; the product of reduction depends on the reagents and conditions used.[2] Catalytic hydrogenation of carvone (1) can give either carvomenthol (2) or carvomenthone (3). Zinc and acetic acid reduce carvone to give dihydrocarvone (4). MPV reduction using propan-2-ol and aluminium isopropoxide effects reduction of the carbonyl group only to provide carveol (5); a combination of sodium borohydride and CeCl3 (Luche reduction) is also effective. Hydrazine and potassium hydroxide give limonene (6) via a Wolff-Kishner reduction.

Oxidation
Oxidation of carvone can also lead to a variety of products.[2] In the presence of an alkali such as Ba(OH)2, carvone is oxidised by air or oxygen to give the diketone 7. With hydrogen peroxide the epoxide 8 is formed. Carvone may be cleaved using ozone followed by steam, giving dilactone 9, while KMnO4 gives 10.

Conjugate additions
As an α,β;-unsaturated ketone, carvone undergoes conjugate additions of nucleophiles. For example, carvone reacts with lithium dimethylcuprate to place a methyl group trans to the isopropenyl group with good stereoselectivity. The resulting enolate can then be allylated using allyl bromide to give ketone 11.[16]

Metabolism
In the body, in vivo studies indicate that both enantiomers of carvone are mainly metabolized into dihydrocarvonic acid, carvonic acid and uroterpenolone.[17] (–)-Carveol is also formed as a minor product via reduction by NADPH. (+)-Carvone is likewise converted to (+)-carveol.[18] This mainly occurs in the liver and involves cytochrome P450 oxidase and (+)-trans-carveol dehydrogenase.
References
- ↑ Vollhardt, Peter and Neil Schore. Organic Chemistry, 5th ed. New York: Freeman, 2007. 173.
- 1 2 3 4 Simonsen, J. L. (1953). The Terpenes. 1 (2nd ed.). Cambridge: Cambridge University Press. pp. 394–408.
- 1 2 3 4 5 6 De Carvalho, C. C. C. R; Da Fonseca, M. M. R. (2006). "Carvone: Why and how should one bother to produce this terpene". Food Chemistry. 95 (3): 413–422. doi:10.1016/j.foodchem.2005.01.003.
- ↑ ENVIRONMENTAL PROTECTION AGENCY (March 4, 2009). "Pesticide Products; Registration Application". Federal Register. 74 (41): 9396–9397.
- ↑ (a) Shing, T. K. M.; Jiang, Q; Mak, T. C. W. J. Org. Chem. 1998, 63, 2056-2057. (b) Shing, T. K. M.; Tang, Y. J. Chem. Soc. Perkin Trans. 1 1994, 1625.
- ↑ Theodore J. Leitereg; Dante G. Guadagni; Jean Harris; Thomas R. Mon; Roy Teranishi (1971). "Chemical and sensory data supporting the difference between the odors of the enantiomeric carvones". J. Agric. Food Chem. 19 (4): 785. doi:10.1021/jf60176a035.
- ↑ Laska, M.; Liesen, A.; Teubner, P. American Journal of Physiology- Regulatory Integrative and Comparative Physiology, 1999, 277, R1098-R1103.
- ↑ Hornok, L. Cultivation and Processing of Medicinal Plants, John Wiley & Sons, Chichester, UK, 1992.
- ↑ , Chemical composition of essential oil from several species of mint (Mentha spp.)
- ↑ Fahlbusch, Karl-Georg; Hammerschmidt, Franz-Josef; Panten, Johannes; Pickenhagen, Wilhelm; Schatkowski, Dietmar; Bauer, Kurt; Garbe, Dorothea; Surburg, Horst (2003). "Flavors and Fragrances". Ullmann's Encyclopedia of Industrial Chemistry. doi:10.1002/14356007.a11_141. ISBN 978-3-527-30673-2.
- ↑ Handwörterbuch der reinen und angewandten Chemie [Concise dictionary of pure and applied chemistry] (Braunschweig, (Germany): Friedrich Vieweg und Sohn, 1849), vol. 4, pages 686-688. [Notes: (1) Varrentrapp purified carvone by mixing oil of caraway with alcohol that had been saturated with hydrogen sulfide and ammonia; the reaction produced a crystalline precipitate, from which carvone could be recovered by adding potassium hydroxide in alcohol to the precipitate, and then adding water; (2) Varrentrapp's empirical formula for carvone is incorrect because chemists at that time used the wrong atomic masses for the elements; e.g., carbon (6 instead of 12).]
- ↑ Heinrich Goldschmidt and Robert Zürrer (1885) "Ueber das Carvoxim," Berichte der Deutschen Chemischen Gesellschaft, 18 : 1729-1733.
- ↑ Georg Wagner (1894) "Zur Oxydation cyklischer Verbindungen" (On the oxidation of cyclic compounds), Berichte der Deutschen chemischen Gesellschaft zu Berlin, vol. 27, pages 2270-2276. [Notes: (1) Georg Wagner (1849-1903) is the Germanized form of "Egor Egorovich Vagner", who was born in Russia and worked in Warsaw (See brief biography here.) ; (2) Wagner did not prove the structure of carvone in this paper; he merely proposed it as plausible; its correctness was proved later.]
- ↑ Conversion of (+)-Limonene to (−)-Carvone: An organic laboratory sequence of local interest. Otis S. Rothenberger , Stuart B. Krasnoff and Ronald B. Rollins., J. Chem. Educ., 1980, 57 (10), p 741 DOI: 10.1021/ed057p741
- ↑ Karl-Georg Fahlbusch, Franz-Josef Hammerschmidt, Johannes Panten, Wilhelm Pickenhagen, Dietmar Schatkowski, Kurt Bauer, Dorothea Garbe, Horst Surburg "Flavors and Fragrances" in Ullmann's Encyclopedia of Industrial Chemistry, 2002, Wiley-VCH, Weinheim. doi:10.1002/14356007.a11_141.
- ↑ Srikrishna, A.; Jagadeeswar Reddy, T. (1998). "Enantiospecific synthesis of (+)-(1S, 2R, 6S)-1, 2-dimethylbicyclo [4.3. 0] nonan-8-one and (−)-7-epibakkenolide-A". Tetrahedron. 54 (38): 11517–11524. doi:10.1016/S0040-4020(98)00672-3. Retrieved 2008-01-22.
- ↑ Engel, W. (2001). "In vivo studies on the metabolism of the monoterpenes S-(+)- and R-(−)-carvone in humans using the metabolism of ingestion-correlated amounts (MICA) approach". J. Agric. Food Chem. 49 (8): 4069–4075. doi:10.1021/jf010157q. PMID 11513712.
- ↑ Jager, W.; Mayer, M.; Platzer, P.; Reznicek, G.; Dietrich, H.; Buchbauer, G. (2000). "Stereoselective metabolism of the monoterpene carvone by rat and human liver microsomes". Journal of Pharmacy and Pharmacology. 52 (2): 191–197. doi:10.1211/0022357001773841. PMID 10714949.
External links
- Carvone at The Periodic Table of Videos (University of Nottingham)

-(%E2%88%92)-carvone-from-xtal-3D-balls-B.png)

