Lurosetron
![]() | |
| Clinical data | |
|---|---|
| ATC code | none |
| Identifiers | |
| |
| CAS Number |
128486-54-4 143486-90-2 (mesylate) |
| PubChem (CID) | 172999 |
| ChemSpider |
151068 |
| UNII |
G694G740ZP |
| KEGG |
D04821 |
| Chemical and physical data | |
| Formula | C17H17FN4O |
| Molar mass | 312.341 g/mol |
| 3D model (Jmol) | Interactive image |
| |
| |
| | |
Lurosetron (INN) is a serotonin 5-HT3 receptor antagonist.[1]
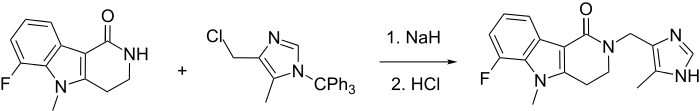
Synthesis

Lurosetron synthesis: EP 0353983
References
- ↑ Prakash SP, Cable KM, Correa ID, Fellows L, Montgomery S, Newman JJ, Waterhouse L, Wells GN, Sutherland DR. Synthesis of isotopically labelled pyridoindolone 5-HT3 receptor antagonists. Journal of Labelled Compounds and Radiopharmaceuticals. 1995; 36(10):993-1007.
This article is issued from Wikipedia - version of the 4/2/2016. The text is available under the Creative Commons Attribution/Share Alike but additional terms may apply for the media files.
