Metal dithiolene complex
Metal dithiolene complexes are complexes containing dithiolene ligands. Dithiolene ligands are unsaturated bidentate ligand wherein the two donor atoms are sulfur. Dithiolenes are often referred to as "metallodithiolenes" or "dithiolene complexes".[1] Most molybdenum- and tungsten-containing proteins have dithiolene-like moieties at their active sites, which feature the so-called molybdopterin cofactor bound to the Mo or W.[2]
Metal dithiolenes have been studied since the 1960s when they were first popularized by Gerhard N. Schrauzer, who prepared Ni(S2C2Ph2)2 by the reaction of nickel sulfide and diphenylacetylene.[3] The structural, spectroscopic, and electrochemical properties of many related complexes have been described.
Structure and bonding
Dithiolene complexes can be found where the metal centre is coordinated by one, two, or three dithiolene ligands. The tris(dithiolene) complexes were the first examples of trigonal prismatic geometry in coordination chemistry. One example is Mo(S2C2Ph2)3. Similar structures have been observed for several other metals.[4]
3.png)
Because of the unusual redox and intense optical properties of dithiolenes, the electronic structure of dithiolene complexes has been the subject of intense study. Dithiolene ligands can exist in three oxidation states: the dianionic "ene-1,2-dithiolate", the neutral "1,2-dithioketone," and a monoanionic radical intermediate between these two. When the latter two are complexed to a metal centre, the oxidation state of the ligand (and therefore the metal centre) cannot be easily defined. Such ligands are therefore referred to as non-innocent. The substituents on the backbone of the dithiolene ligand, R and R', affect the properties of the resulting metal complex in the expected way. Long chains confer solubility in less polar solvents. Electron acceptors (e.g. CN, CO2Me) stabilize reduced and anionic complexes. Derivatives are known where the substituents are the same, symmetrical dithiolenes (R = R') are more common than unsymmetrical.
Due to their delocalized electronic structure, metal dithiolenes undergo reversible redox reaction. When oxidized, dithiolene complexes have greater 1,2-dithioketone character. In reduced complexes, the ligand assumes more ene-1,2-dithiolate character. These descriptions are evaluated by examination of differences in C-C and C-S bond distances. The true structure lies somewhere between these resonance structures. Reflecting the impossibility to provide an unequivocal description of the structure, McCleverty introduced the term 'dithiolene' to give a general name for the ligand that does not specify a particular oxidation state. This suggestion was generally accepted, and 'dithiolene' is now a universally accepted term.
Limiting resonance structures of a R2C2S2M ring
Applications and occurrence
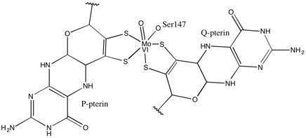
Dithiolenes occur widely in nature in the form of the molybdopterin-bound Mo and W-containing enzymes.

Commercial applications of 1,2-dithiolene complexes are limited. A few dithiolene complexes have been commercialized as dyes in laser applications. Metal dithiolenes have been discussed in the context of conductivity, magnetism, and nonlinear optics.
Preparation
From alkenedithiolates
Most dithiolene complexes are prepared by reaction of alkali metal salts of 1,2-alkenedithiolates with metal halides. A thiolate is the conjugate base of a thiol, so alkenedithiolate is, formally speaking, the conjugate base of an alkenedithiol. A common alkenedithiolate is mnt2−, which forms a very stable Ni(II) complex:[6]
- Ni2+ + 2 (NC)2C2S22− → Ni[S2C2(CN)2]22−
Some alkenedithiolates are generated in situ, often by complex organic reactions:
- cis-H2C2(SCH2Ph)2 + 4 Na → cis-H2C2(SNa)2 + 2 NaCH2Ph
Once generated, these anions are deployed as ligands:
- NiCl2 + 2 cis-H2C2(SNa)2 → Na2[Ni(S2C2H2)2] + 2 NaCl
Often the initially formed, electron-rich complex undergoes spontaneous air-oxidation:
- [Ni(S2C2H2)2]2− + 2 H+ + 1/2 O2 → Ni(S2C2H2)2 + H2O
From acyloins
An early and still powerful method for the synthesis of dithiolenes entails the reaction of α-hydroxyketones, acyloins, with P4S10 followed by hydrolysis and treatment of the mixture with metal salts. This method is used to prepare Ni[S2C2Ar2]2 (Ar = aryl).
From dithietes
Although 1,2-dithiones are rare and thus not useful precursors, their valence isomer, the 1,2-dithietes are occasionally used. One of the more common dithiete is the distillable (CF3)2C2S2, prepared from the reaction of elemental sulfur and hexafluoro-2-butyne. This electrophilic reagent oxidatively adds to many low valent metals to give bis- and tris(dithiolene) complexes.
- Mo(CO)6 + 3 (CF3)2C2S2 → [(CF3)2C2S2]3Mo + 6 CO
- Ni(CO)4 + 2 (CF3)2C2S2 → [(CF3)2C2S2]2Ni + 4 CO
By reactions of metal sulfides with alkynes
Species of the type Ni[S2C2Ar2]2 were first prepared by reactions of nickel sulfides with diphenylacetylene. More modern versions of this method entail the reaction of electrophilic acetylenes such as dimethyl acetylenedicarboxylate with well defined polysulfido complexes.
History and nomenclature
Early studies on dithiolene ligands, although not called by that name until the 1960s,[7]:58[8] focused on the quinoxaline-2,3-dithiolates and 3,4-toluenedithiolates, which form brightly colored precipitates with several metal centres. Such species were originally of interest in analytical chemistry. Dithiolenes lacking benzene backbones represented an important development of the area, especially maleonitrile-2,3-ditholate ("mnt"), (NC)2C2S22−, and ethylenedithiolene, H2C2S22−.
References
- ↑ Karlin, K. D.; Stiefel, E. I., Eds. “Progress in Inorganic Chemistry, Dithiolene Chemistry: Synthesis, Properties, and Applications” Wiley-Interscience: New York, 2003. ISBN 0-471-37829-1
- ↑ Romão, M. J.; Archer, M.; Moura, I.; Moura, J. J. G.; Legall, J.; Engh, R.; Schneider, M.; Hof, P. & Huber, R. (1995). "Crystal Structure of the Xanthine Oxidase-Related Aldehyde Oxido-Reductase from D-Gigas". Science. 270 (5239): 1170–1176. Bibcode:1995Sci...270.1170R. doi:10.1126/science.270.5239.1170. PMID 7502041.
- ↑ Schrauzer, G. N.; Mayweg, V. (1962). "Reaction of Diphenylacetylene with Ni Sulfides". J. Am. Chem. Soc. 84: 3221. doi:10.1021/ja00875a061.
- ↑ Eisenberg, R. & Gray, H. B. (1967). "Trigonal-prismatic coordination. Crystal and Molecular Structure of Tris (cis-1,2-diphenylethylene-1,2-dithiolato)vanadium". Inorg. Chem. 6: 1844–9. doi:10.1021/ic50056a018.
- ↑ McEwan, Alistair G.; Ridge, Justin P.; McDevitt, Christopher A.; Hugenholtz, Phillip (2002), "The DMSO Reductase Family of Microbial Molybdenum Enzymes; Molecular Properties and Role in the Dissimilatory Reduction of Toxic Elements", Geomicrobiology Journal, 19 (1): 3–21, doi:10.1080/014904502317246138, retrieved 2014-02-27
- ↑ R. H. Holm, A. Davison (1967). "Metal Complexes Derived from cis-1,2-Dicyano-1,2-Ethylenedithiolate and Bis(trifluoromethyl)-1,2-Dithiete". Inorg. Synth. 10: 8–26. doi:10.1002/9780470132418.ch3.
- ↑ McCleverty, J. A. (1968). "Metal 1,2-Dithiolene and Related Complexes". Progress Inorganic Chemistry. 10: 49–221. doi:10.1002/9780470166116.ch2.
- ↑ Arca,M.; Aragoni, M.C. (2007). "1,2-Dithiolene Ligands and Related Selenium and Tellurium Compounds". Handbook of Chalcogen Chemistry: 797–830.