Maximal element
In mathematics, especially in order theory, a maximal element of a subset S of some partially ordered set (poset) is an element of S that is not smaller than any other element in S. A minimal element of a subset S of some partially ordered set is defined dually as an element of S that is not greater than any other element in S.
The notions of maximal and minimal elements are weaker than those of greatest element and least element which are also known, respectively, as maximum and minimum. The maximum of a subset S of a partially ordered set is an element of S which is greater than or equal to any other element of S, and the minimum of S is again defined dually. While a partially ordered set can have at most one each maximum and minimum it may have multiple maximal and minimal elements.[1][2] For totally ordered sets, the notions of maximal element and maximum coincide, and the notions of minimal element and minimum coincide.
As an example, in the collection
- S = {{d, o}, {d, o, g}, {g, o, a, d}, {o, a, f}}
ordered by containment, the element {d, o} is minimal, the element {g, o, a, d} is maximal, the element {d, o, g} is neither, and the element {o, a, f} is both minimal and maximal. By contrast, neither a maximum nor a minimum exists for S.
Zorn's lemma states that every partially ordered set for which every totally ordered subset has an upper bound contains at least one maximal element. This lemma is equivalent to the well-ordering theorem and the axiom of choice[3] and implies major results in other mathematical areas like the Hahn–Banach theorem and Tychonoff's theorem, the existence of a Hamel basis for every vector space, and the existence of an algebraic closure for every field.
Definition
Let be a partially ordered set and . Then is a maximal element of if
for all , implies
The definition for minimal elements is obtained by using ≥ instead of ≤.
Existence and uniqueness

Maximal elements need not exist.
- Example 1: Let S = [1,∞) ⊂ ℝ, for all m∈S we have s=m+1∈S but m<s (that is, m≤s but not m=s).
In general ≤ is only a partial order on S. If m is a maximal element and s∈S, it remains the possibility that neither s≤m nor m≤s. This leaves open the possibility that there are many maximal elements.
- Example 3: In the fence a1 < b1 > a2 < b2 > a3 < b3 > ..., all the ai are minimal, and all the bi are maximal, see picture.
- Example 4: Let A be a set with at least two elements and let S={{a}: a∈A} be the subset of the power set P(A) consisting of singletons, partially ordered by ⊂. This is the discrete poset—no two elements are comparable—and thus every element {a}∈S is maximal (and minimal) and for any a‘’,a‘‘ neither {a‘} ⊂ {a‘‘} nor {a‘‘} ⊂ {a‘}.
Maximal elements and the greatest element

It looks like should be a greatest element or maximum but in fact it is not necessarily the case: the definition of maximal element is somewhat weaker. Suppose we find with , then, by the definition of greatest element, so that . In other words, a maximum, if it exists, is the (unique) maximal element.
The converse is not true: there can be maximal elements despite there being no maximum. Example 3 is an instance of existence of many maximal elements and no maximum. The reason is, again, that in general is only a partial order on . If is a maximal element and , it remains the possibility that neither nor .
If there are many maximal elements, they are in some contexts called a frontier, as in the Pareto frontier.
Of course, when the restriction of to is a total order, the notions of maximal element and greatest element coincide. Let be a maximal element, for any either or . In the second case the definition of maximal element requires so we conclude that . In other words, is a greatest element.
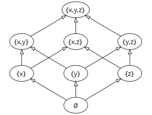
Finally, let us remark that being totally ordered is sufficient to ensure that a maximal element is a greatest element, but it is not necessary. For example, every power set P(S) of a set S has only one maximal element, viz. S itself, which is also the unique greatest element; but almost no power set is totally ordered, cf. picture.
Directed sets
In a totally ordered set, the terms maximal element and greatest element coincide, which is why both terms are used interchangeably in fields like analysis where only total orders are considered. This observation applies not only to totally ordered subsets of any poset, but also to their order theoretic generalization via directed sets. In a directed set, every pair of elements (particularly pairs of incomparable elements) has a common upper bound within the set. Any maximal element of such a subset will be unique (unlike in a poset). Furthermore, this unique maximal element will also be the greatest element.
Similar conclusions are true for minimal elements.
Further introductory information is found in the article on order theory.
Examples
- In Pareto efficiency, a Pareto optimal is a maximal element with respect to the partial order of Pareto improvement, and the set of maximal elements is called the Pareto frontier.
- In decision theory, an admissible decision rule is a maximal element with respect to the partial order of dominating decision rule.
- In modern portfolio theory, the set of maximal elements with respect to the product order on risk and return is called the efficient frontier.
- In set theory, a set is finite if and only if every non-empty family of subsets has a minimal element when ordered by the inclusion relation.
- In abstract algebra, the concept of a maximal common divisor is needed to generalize greatest common divisors to number systems in which the common divisors of a set of elements may have more than one maximal element.
- In computational geometry, the maxima of a point set are maximal with respect to the partial order of coordinatewise domination.
Consumer theory
In economics, one may relax the axiom of antisymmetry, using preorders (generally total preorders) instead of partial orders; the notion analogous to maximal element is very similar, but different terminology is used, as detailed below.
In consumer theory the consumption space is some set , usually the positive orthant of some vector space so that each represents a quantity of consumption specified for each existing commodity in the economy. Preferences of a consumer are usually represented by a total preorder so that and reads: is at most as preferred as . When and it is interpreted that the consumer is indifferent between and but is no reason to conclude that , preference relations are never assumed to be antisymmetric. In this context, for any , we call a maximal element if
- implies
and it is interpreted as a consumption bundle that is not dominated by any other bundle in the sense that , that is and not .
It should be remarked that the formal definition looks very much like that of a greatest element for an ordered set. However, when is only a preorder, an element with the property above behaves very much like a maximal element in an ordering. For instance, a maximal element is not unique for does not preclude the possibility that (while and do not imply but simply indifference ). The notion of greatest element for a preference preorder would be that of most preferred choice. That is, some with
- implies
An obvious application is to the definition of demand correspondence. Let be the class of functionals on . An element is called a price functional or price system and maps every consumption bundle into its market value . The budget correspondence is a correspondence mapping any price system and any level of income into a subset
The demand correspondence maps any price and any level of income into the set of -maximal elements of .
- is a maximal element of .
It is called demand correspondence because the theory predicts that for and given, the rational choice of a consumer will be some element .
Related notions
A subset of a partially ordered set is said to be cofinal if for every there exists some such that . Every cofinal subset of a partially ordered set with maximal elements must contain all maximal elements.
A subset of a partially ordered set is said to be a lower set of if it is downward closed: if and then . Every lower set of a finite ordered set is equal to the smallest lower set containing all maximal elements of .
References
- ↑ Richmond, Bettina; Richmond, Thomas (2009), A Discrete Transition to Advanced Mathematics, American Mathematical Society, p. 181, ISBN 978-0-8218-4789-3.
- ↑ Scott, William Raymond (1987), Group Theory (2nd ed.), Dover, p. 22, ISBN 978-0-486-65377-8
- ↑ Jech, Thomas (2008) [originally published in 1973]. The Axiom of Choice. Dover Publications. ISBN 0-486-46624-8.