MitoQ
![]() | |
| Names | |
|---|---|
| IUPAC name
Phosphonium, [10-(4,5-dimethoxy-2-methyl-3,6-dioxo-1,4-cyclohexadien- 1-yl)decyl]triphenyl-, methanesulfonate | |
| Other names
mitoquinone mesylate, MitoQ10, mitoubiquinone mesylate | |
| Identifiers | |
| 845959-50-4 | |
| 3D model (Jmol) | Interactive image |
| ChemSpider | 9563239 |
| PubChem | 11388331 |
| UNII | 6E01CG547T |
| |
| |
| Properties | |
| C38H47O7PS | |
| Molar mass | 678.82 g·mol−1 |
| Appearance | Viscous orange syrup |
| Solubility | dichloromethane, ethanol, methanol, chloroform, water(Insoluble in hexane, ether |
| Except where otherwise noted, data are given for materials in their standard state (at 25 °C [77 °F], 100 kPa). | |
| Infobox references | |
MitoQ is a mitochondria-targeted antioxidant designed to accumulate within mitochondria in vivo in order to protect against oxidative damage. It is the first molecule specifically designed to decrease mitochondrial oxidative damage to have undergone clinical trials in humans.[1][2][3] Mitochondria are an essential organelle within most cells that use oxygen to break down carbohydrates and fat to release energy in a form the cell can use. In doing this mitochondria release disruptive free radicals that contribute to oxidative damage in a wide range of diseases and pathologies. MitoQ is being evaluated as a therapy for some of these disorders. The molecule comprises a positively charged lipophilic cation that drives its extensive accumulation within the negatively charged mitochondria inside cells. The active antioxidant component of MitoQ is ubiquinone, which is identical to the active antioxidant in Coenzyme Q10. The lipophilic cation enables MitoQ to be accumulated selectively and extensively by mitochondria, in contrast to other antioxidants which distribute evenly throughout the cell. It is this approximately thousand-fold greater concentration of MitoQ within mitochondria that makes it more effective at preventing mitochondrial oxidative damage when compared to un-targeted antioxidants such as Coenzyme Q10 , idebenone or ubiquinol.
Mitochondrial oxidative damage
Mitochondria are essential organelles within most of our cells that use the oxygen we breathe to break down the fat and carbohydrate in our diet. This process, called oxidative phosphorylation, releases the energy stored in food in a form that can be used within our cells, namely adenosine triphosphate (ATP). In addition, mitochondria are also central to many other aspects of metabolism and cell death in pathology and disease as they regulate programmed cell death or apoptosis. Due to all these essential functions, damage or disruption to mitochondria is a significant contributor to the cell death and tissue damage that underlies many diseases and pathologies. Oxidative stress occurs when reactive oxygen species such as free radicals react with and damage biological molecules, cells and tissues.[4] As mitochondria are the major source of the free radical superoxide within cells, mitochondrial oxidative stress is thought to be a major contributing factor underlying a wide range of diseases and pathologies.[5][6][7] These include acute disorders such as heart attack, stroke and sepsis, and also chronic disorders such as diabetes, metabolic syndrome, inflammation, and many of the degenerative processes and diseases associated with ageing such as Parkinson's disease and Alzheimer's disease. Consequently, antioxidants, which are designed to block the damage caused by reactive oxygen species, should be effective therapies for a wide range of diseases by decreasing mitochondrial oxidative damage.[8] However, when antioxidants have been tried as therapies in patients who are not deficient in endogenous antioxidants they have generally been disappointing.[9][10] The relatively poor efficacy of conventional antioxidants may be because not enough antioxidant gets to the mitochondria, the main site of oxidative damage in the cell. To overcome this difficulty mitochondria-targeted antioxidants such as MitoQ were developed.[11][12]
Design and synthesis
MitoQ was designed in the late 1990s as a mitochondria-targeted antioxidant by Michael P. Murphy and Robin A. J. Smith.[13] At the time, both were at the University of Otago, Dunedin, New Zealand where Murphy was a mitochondrial biochemist in the Department of Biochemistry and Smith was an organic chemist at the Department of Chemistry. The molecule was made by a PhD student in Smith’s lab, Geoffrey Kelso, and the first publication on MitoQ was in 2001.[13] Since then over 180 publications on MitoQ have been recorded.[3][12] MitoQ is the first physiologically active form of CoQ10 specifically targeted to mitochondria in order to decrease oxidative damage to have undergone clinical trials in human patients.[1][2][3]
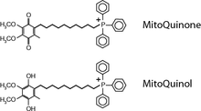
MitoQ was designed to accumulate extensively within mitochondria in vivo in order to increase the local antioxidant capacity and thereby decrease mitochondrial oxidative damage.[12] To do this MitoQ incorporates a lipophilic cation, that is a positively charged component that is sufficiently hydrophobic, or “oily”, to be able to pass directly through biological membranes.[14] The lipophilic cation used is based on the triphenylphosphonium structure, which is well known to accumulate within the negative mitochondrial matrix.[14][15][16] In the solid form of MitoQ the positive charge is neutralised with a negatively charged anion, typically mesylate, to form a salt. MitoQ is present in two different forms, the oxidised ubiquinone form, Mitoquinone and the reduced ubiquinol form, Mitoquinol. MitoQ can refer to either form or to a mixture of the forms.

The uptake of lipophilic cations into mitochondria occurs because of the large membrane potential or voltage across the mitochondrial inner membrane,[14] which is inherent to how mitochondria carry out their core function of making ATP.[17] Lipophilic cations have a number of unusual properties in that while they are water-soluble they can still easily pass through the hydrophobic core of biological membranes and therefore do not require specific protein carriers.[14] The extent of the uptake of lipophilic cations such as MitoQ into mitochondria is described by the Nernst Equation, which means that for about every 60 mV increase in membrane potential there is a tenfold increase in the concentration within mitochondria, compared to the concentration outside. The uptake of lipophilic cations such as MitoQ into mitochondria within cells will be driven by the membrane potential across the plasma membrane (30–60 mV) and by the mitochondrial membrane potential (150–180 mV); consequently, the MitoQ concentration within mitochondria will be about a thousandfold greater than that outside the cell. This was confirmed by studies which measured the uptake of MitoQ by both isolated mitochondria and by mitochondria within cells.[13][18]
The antioxidant component of MitoQ is the same ubiquinone as found in Coenzyme Q10.[13][19] Within mitochondria the ubiquinone part of MitoQ is rapidly activated to the active ubiquinol antioxidant by the action of the enzyme Complex II (also called succinate dehydrogenase) in the mitochondrial respiratory chain.[20] After detoxifying a free radical or other ROS the ubiquinol part of MitoQ is converted back to ubiquinone, which is then recycled back to the active antioxidant by Complex II within the mitochondria.[20] It is this combination of a thousand-fold concentration within mitochondria, coupled to its conversion to the active antioxidant and recycling back to the active antioxidant after detoxification of a free radical that makes MitoQ such an effective mitochondria-targeted antioxidant.

The alkyl chain connecting the lipophilic triphenylphosphonium cation to the ubiquinol is 10 carbon atoms in length.[13] This chain length seems to be about optimum for antioxidant efficacy from comparisons with derivatives of MitoQ with chain lengths of 3, 5, 7 and 15 carbon atoms.[21][22] The hydrophobicity of the 10 carbon chain increases the rate of uptake of MitoQ across biological membranes and also its extent of adsorption to the mitochondrial inner membrane.[18][22][23] The 10-carbon alkyl chain in MitoQ also enables the ubiquinone component to access the active site of Complex II in order to be converted to the active antioxidant ubiquinol, something that is not possible with shorter chain lengths.[20] These properties lead to MitoQ being mainly (> 90%) adsorbed to the matrix facing surface of the inner membrane, where the lipophilic triphenylphosphonium cation sits on the surface of the membrane while the ubiqinol antioxidant penetrates into the membrane core.[18][23]

The principal way in which MitoQ acts as an antioxidant is related to its location on the mitochondrial membrane.[24] The antioxidant ubiquinol component of MitoQ penetrates into the mitochondrial inner membrane and can there donate a hydrogen atom to a radical species formed during lipid peroxidation, and thereby act to block this form of oxidative damage.[24] After blocking oxidative damage MitoQ is then recycled by Complex II back to the active ubiquinol antioxidant form.[20]
The reduced, ubiquinol form of MitoQ can react directly with other reactive species such as peroxynitrite[20] and the ubiquinone form can react directly with superoxide.[25] These reactions may also contribute to antioxidant protection by MitoQ. All ubiquinols can be induced to undergo redox cycling, that is to react with oxygen to produce the free radical superoxide.[24] However, for this to occur, the ubiquinol has to be in an aqueous environment where it can first lose a proton and then react with oxygen to form superoxide.[24] The hydrophobicity of MitoQ and its consequent binding to biological membrane seems to minimise the deprotonation and the extent of redox cycling by MitoQ seems to be negligible in vivo.[26]
Prevention of mitochondrial oxidative damage by MitoQ in vivo
Mitochondrial oxidative damage contributes to a wide range of different diseases and pathologies and increases with age, consequently decreasing mitochondrial oxidative damage could be therapeutically useful for many degenerative disorders.[8] The ability of MitoQ to decrease mitochondrial oxidative damage and thereby improve the outcome of the pathology has been assessed in vivo in a number of murine disease model following the oral or intraperitoneal administration of MitoQ.[3] These include models of the following disorders: Alzheimer’s Disease,[27] Parkinson’s Disease,[28] hypertension,[29] type I diabetes,[30] heart attack,[31] sepsis,[32] fatty liver disease,[26][33] the metabolic syndrome,[34][35] alcohol induced steatohepatitis,[36] protection against doxorubicin[37] and cocaine[38] cardiotoxicity and in organ preservation for transplantation.[39] These findings are consistent with mitochondrial oxidative damage being a potential therapeutic target in a range of human diseases and pathologies, particularly those degenerative diseases associated with ageing.
Human studies
The protection against mitochondrial oxidative damage by MitoQ in disease models led to MitoQ being translated to human clinical trials.[1][2][3] The concept of mitochondria-targeted antioxidants based on lipophilic cations invented by Murphy and Smith was patented by the University of Otago, New Zealand (e.g. US 6331532, NZ 505302, AU 763179). These patents were then acquired by Antipodean Pharmaceuticals Inc, an Auckland, New Zealand-based company which developed MitoQ and established a suite of further patents in this area. To do this, Antipodean Pharmaceuticals carried out synthesis and toxicity studies leading on to a successful Phase I assessment of oral MitoQ tablets in healthy volunteers and then to two Phase II clinical trials.
- One on the Phase II clinical trials was on Parkinson's disease where patients were given an oral MitoQ dose of 40 or 80 mg per day for a year and compared with placebo. This trial was registered on clinicaltrials.gov as NCT00329056.
- The Parkinson’s Disease trial did not show a benefit of MitoQ, probably because the irreversible neuronal damage was too great by the time the patients were diagnosed; however, this study did provide a year’s safety data.[2]
-
- In the other trial patients with hepatitis C virus who were not responding to antiviral treatments were assessed for prevention of liver inflammation. This trial was registered on clinicaltrials.gov as NCT00433108.
- The trial in hepatitis C virus patients did show liver protection.[1]
These two trials showed that it was safe to target mitochondria in humans long term and other trials for MitoQ are now planned.
The development of MitoQ has led to two further developments. One was a skin cream incorporating MitoQ which is used to combat the signs of skin ageing (mitoq.com). The other was an oral supplement containing a low dose of MitoQ which can be used as a nutritional supplement.
Other mitochondria-targeted molecules
The development of MitoQ as a mitochondria-targeted antioxidant has been extended with a range of other mitochondria-targeted molecules based on lipophilic cations.[11][40] This has included antioxidant molecules such as Vitamin E,[41] Ebselen,[42] super oxide dismutase enzyme mimetics,[43] lipoic acid,[44] plastoquinone,[45] nitroxides[46] and probe molecules, such as MitoB,[47] MitoSOX,[48] MitoPerox,[49] spin traps[50] and uncouplers.[51] In addition, there are also classes of positively charged peptides including the SS peptides[52][53] and the MPP peptides[54][55] that can be used to deliver compounds to mitochondria, and some of these have been used successfully in vivo and are moving on to human trials.
References
- 1 2 3 4 E.J. Gane, F. Weilert, D.W. Orr, G.F. Keogh, M. Gibson, M.M. Lockhart, C.M. Frampton, K.M. Taylor, R.A. Smith, M.P. Murphy, The mitochondria-targeted anti-oxidant mitoquinone decreases liver damage in a phase II study of hepatitis C patients, Liver Int, 30 (2010) 1019–1026.
- 1 2 3 4 B.J. Snow, F.L. Rolfe, M.M. Lockhart, C.M. Frampton, J.D. O'Sullivan, V. Fung, R.A. Smith, M.P. Murphy, K.M. Taylor, A double-blind, placebo-controlled study to assess the mitochondria-targeted antioxidant MitoQ as a disease-modifying therapy in Parkinson's disease, Movement disorders : official journal of the Movement Disorder Society, 25 (2010) 1670–1674.
- 1 2 3 4 5 R.A. Smith, M.P. Murphy, Animal and human studies with the mitochondria-targeted antioxidant MitoQ, Annals of the New York Academy of Sciences, 1201 (2010) 96-103.
- ↑ B.H. Halliwell, J.M.C. Gutteridge, Free radicals in Biology and Medicine, 4th ed., Oxford University Press, Oxford, 2007.
- ↑ M.P. Murphy, How mitochondria produce reactive oxygen species, Biochem J, 417 (2009) 1-13.
- ↑ D.C. Wallace, W. Fan, V. Procaccio, Mitochondrial energetics and therapeutics, Annu Rev Pathol, 5 (2010) 297-348.
- ↑ T. Finkel, Opinion: Radical medicine: treating ageing to cure disease, Nat Rev Mol Cell Biol, 6 (2005) 971-976.
- 1 2 M.P. Murphy, Mitochondria--a neglected drug target, Curr Opin Investig Drugs, 10 (2009) 1022–1024.
- ↑ G. Bjelakovic, D. Nikolova, L.L. Gluud, R.G. Simonetti, C. Gluud, Antioxidant supplements for prevention of mortality in healthy participants and patients with various diseases, Cochrane Database of Systematic Reviews, (2008).
- ↑ H.M. Cocheme, M.P. Murphy, Can antioxidants be effective therapeutics?, Curr Opin Investig Drugs, 11 (2010) 426-431.
- 1 2 R.A. Smith, R.C. Hartley, H.M. Cocheme, M.P. Murphy, Mitochondrial pharmacology, Trends in pharmacological sciences, 33 (2012) 341-352.
- 1 2 3 M.P. Murphy, R.A. Smith, Targeting antioxidants to mitochondria by conjugation to lipophilic cations, Annual Review of Pharmacology and Toxicology, 47 (2007) 629-656.
- 1 2 3 4 5 G.F. Kelso, C.M. Porteous, C.V. Coulter, G. Hughes, W.K. Porteous, E.C. Ledgerwood, R.A. Smith, M.P. Murphy, Selective targeting of a redox-active ubiquinone to mitochondria within cells: antioxidant and antiapoptotic properties, The Journal of biological chemistry, 276 (2001) 4588-4596.
- 1 2 3 4 M.F. Ross, G.F. Kelso, F.H. Blaikie, A.M. James, H.M. Cocheme, A. Filipovska, T. Da Ros, T.R. Hurd, R.A. Smith, M.P. Murphy, Lipophilic triphenylphosphonium cations as tools in mitochondrial bioenergetics and free radical biology, Biochemistry (Mosc), 70 (2005) 222-230.
- ↑ L.E. Bakeeva, L.L. Grinius, A.A. Jasaitis, V.V. Kuliene, D.O. Levitsky, E.A. Liberman, Severina, II, V.P. Skulachev, Conversion of biomembrane-produced energy into electric form. II. Intact mitochondria, Biochim Biophys Acta, 216 (1970) 13-21.
- ↑ L.L. Grinius, A.A. Jasaitis, Y.P. Kadziauskas, E.A. Liberman, V.P. Skulachev, V.P. Topali, L.M. Tsofina, M.A. Vladimirova, Conversion of biomembrane-produced energy into electric form. I. Submitochondrial particles, Biochim Biophys Acta, 216 (1970) 1-12.
- ↑ D.G. Nicholls, S.J. Ferguson, Bioenergetics 3, Academic Press, London, 2002.
- 1 2 3 M.F. Ross, T.A. Prime, I. Abakumova, A.M. James, C.M. Porteous, R.A.J. Smith, M.P. Murphy, Rapid and extensive uptake and activation of hydrophobic triphenylphosphonium cations within cells, Biochemical Journal, 411 (2008) 633-645.
- ↑ H. Nohl, A.V. Kozlov, K. Staniek, L. Gille, The multiple functions of coenzyme Q, Bioorganic chemistry, 29 (2001) 1-13.
- 1 2 3 4 5 A.M. James, H.M. Cocheme, R.A. Smith, M.P. Murphy, Interactions of mitochondria-targeted and untargeted ubiquinones with the mitochondrial respiratory chain and reactive oxygen species. Implications for the use of exogenous ubiquinones as therapies and experimental tools, The Journal of biological chemistry, 280 (2005) 21295-21312.
- ↑ J. Asin-Cayuela, A.R. Manas, A.M. James, R.A. Smith, M.P. Murphy, Fine-tuning the hydrophobicity of a mitochondria-targeted antioxidant, FEBS Lett, 571 (2004) 9-16.
- 1 2 A.M. James, H.M. Cocheme, M.P. Murphy, Mitochondria-targeted redox probes as tools in the study of oxidative damage and ageing, Mechanisms of ageing and development, 126 (2005) 982-986.
- 1 2 A.M. James, M.S. Sharpley, A.R. Manas, F.E. Frerman, J. Hirst, R.A. Smith, M.P. Murphy, Interaction of the mitochondria-targeted antioxidant MitoQ with phospholipid bilayers and ubiquinone oxidoreductases, J Biol Chem, 282 (2007) 14708-14718.
- 1 2 3 4 A.M. James, R.A. Smith, M.P. Murphy, Antioxidant and prooxidant properties of mitochondrial Coenzyme Q, Arch Biochem Biophys, 423 (2004) 47-56.
- ↑ A. Maroz, R.F. Anderson, R.A. Smith, M.P. Murphy, Reactivity of ubiquinone and ubiquinol with superoxide and the hydroperoxyl radical: implications for in vivo antioxidant activity, Free Radic Biol Med, 46 (2009) 105-109.
- 1 2 S. Rodriguez-Cuenca, H.M. Cocheme, A. Logan, I. Abakumova, T.A. Prime, C. Rose, A. Vidal-Puig, A.C. Smith, D.C. Rubinsztein, I.M. Fearnley, B.A. Jones, S. Pope, S.J. Heales, B.Y. Lam, S.G. Neogi, I. McFarlane, A.M. James, R.A. Smith, M.P. Murphy, Consequences of long-term oral administration of the mitochondria-targeted antioxidant MitoQ to wild-type mice, Free radical biology & medicine, 48 (2010) 161-172.
- ↑ M.J. McManus, M.P. Murphy, J.L. Franklin, The Mitochondria-Targeted Antioxidant MitoQ Prevents Loss of Spatial Memory Retention and Early Neuropathology in a Transgenic Mouse Model of Alzheimer's Disease, The Journal of neuroscience : the official journal of the Society for Neuroscience, 31 (2011) 15703-15715.
- ↑ A. Ghosh, K. Chandran, S.V. Kalivendi, J. Joseph, W.E. Antholine, C.J. Hillard, A. Kanthasamy, A. Kanthasamy, B. Kalyanaraman, Neuroprotection by a mitochondria-targeted drug in a Parkinson's disease model, Free Radical Biology and Medicine, 49 (2010) 1674–1684.
- ↑ D. Graham, N.N. Huynh, C.A. Hamilton, E. Beattie, R.A. Smith, H.M. Cocheme, M.P. Murphy, A.F. Dominiczak, Mitochondria-targeted antioxidant MitoQ10 improves endothelial function and attenuates cardiac hypertrophy, Hypertension, 54 (2009) 322-328.
- ↑ B.K. Chacko, C. Reily, A. Srivastava, M.S. Johnson, Y. Ye, E. Ulasova, A. Agarwal, K.R. Zinn, M.P. Murphy, B. Kalyanaraman, V. Darley-Usmar, Prevention of diabetic nephropathy in Ins2(+/)(AkitaJ) mice by the mitochondria-targeted therapy MitoQ, Biochem J, 432 (2010) 9-19.
- ↑ V.J. Adlam, J.C. Harrison, C.M. Porteous, A.M. James, R.A. Smith, M.P. Murphy, I.A. Sammut, Targeting an antioxidant to mitochondria decreases cardiac ischemia-reperfusion injury, Faseb J, 19 (2005) 1088–1095.
- ↑ G.S. Supinski, M.P. Murphy, L.A. Callahan, MitoQ administration prevents endotoxin-induced cardiac dysfunction, Am J Physiol Regul Integr Comp Physiol, 297 (2009) R1095-1102.
- ↑ C. von Montfort, N. Matias, A. Fernandez, R. Fucho, L. Conde de la Rosa, M.L. Martinez-Chantar, J.M. Mato, K. Machida, H. Tsukamoto, M.P. Murphy, A. Mansouri, N. Kaplowitz, C. Garcia-Ruiz, J.C. Fernandez-Checa, Mitochondrial GSH determines the toxic or therapeutic potential of superoxide scavenging in steatohepatitis, JOURNAL OF HEPATOLOGY, 57 (2012) 852-859.
- ↑ Y.F. Pung, P. Rocic, M.P. Murphy, R.A. Smith, J. Hafemeister, V. Ohanyan, G. Guarini, L. Yin, W.M. Chilian, Resolution of mitochondrial oxidative stress rescues coronary collateral growth in Zucker obese fatty rats, Arterioscler Thromb Vasc Biol, 32 (2012) 325-334.
- ↑ J.R. Mercer, E. Yu, N. Figg, K.K. Cheng, T.A. Prime, J.L. Griffin, M. Masoodi, A. Vidal-Puig, M.P. Murphy, M.R. Bennett, The mitochondria-targeted antioxidant MitoQ decreases features of the metabolic syndrome in ATM+/-/ApoE-/- mice, Free radical biology & medicine, 52 (2012) 841-849.
- ↑ B.K. Chacko, A. Srivastava, M.S. Johnson, G.A. Benavides, M.J. Chang, Y. Ye, N. Jhala, M.P. Murphy, B. Kalyanaraman, V.M. Darley-Usmar, Mitochondria-targeted ubiquinone (MitoQ) decreases ethanol-dependent micro and macro hepatosteatosis, Hepatology (Baltimore, Md, 54 (2011) 153-163.
- ↑ K. Chandran, D. Aggarwal, R.Q. Migrino, J. Joseph, D. McAllister, E.A. Konorev, W.E. Antholine, J. Zielonka, S. Srinivasan, N.G. Avadhani, B. Kalyanaraman, Doxorubicin inactivates myocardial cytochrome c oxidase in rats: cardioprotection by Mito-Q, Biophys J, 96 (2009) 1388–1398.
- ↑ A. Vergeade, P. Mulder, C. Vendeville-Dehaudt, F. Estour, D. Fortin, R. Ventura-Clapier, C. Thuillez, C. Monteil, Mitochondrial impairment contributes to cocaine-induced cardiac dysfunction: Prevention by the targeted antioxidant MitoQ, Free Radic Biol Med, 49 (2010) 748-756.
- ↑ T. Mitchell, D. Rotaru, H. Saba, R.A.J. Smith, M.P. Murphy, L. MacMillan-Crow, The mitochondria-targeted antioxidant Mitoquinone protects against cold storage injury of renal tubular cells and rat kidneys Journal of Pharmacology and Experimental Therapeutics IN PRESS (2011).
- ↑ R.A. Smith, R.C. Hartley, M.P. Murphy, Mitochondria-targeted small molecule therapeutics and probes, Antioxidants & redox signaling, 15 (2011) 3021-3038.
- ↑ R.A.J. Smith, C.M. Porteous, C.V. Coulter, M.P. Murphy, Targeting an antioxidant to mitochondria, Eur J Biochem, 263 (1999) 709-716.
- ↑ A. Filipovska, G.F. Kelso, S.E. Brown, S.M. Beer, R.A. Smith, M.P. Murphy, Synthesis and characterization of a triphenylphosphonium-conjugated peroxidase mimetic: Insights into the interaction of ebselen with mitochondria, J Biol Chem, (2005).
- ↑ G.F. Kelso, A. Maroz, H.M. Cocheme, A. Logan, T.A. Prime, A.V. Peskin, C.C. Winterbourn, A.M. James, M.F. Ross, S. Brooker, C.M. Porteous, R.F. Anderson, M.P. Murphy, R.A. Smith, A mitochondria-targeted macrocyclic Mn(II) superoxide dismutase mimetic, Chemistry & biology, 19 (2012) 1237–1246.
- ↑ S.E. Brown, M.F. Ross, A. Sanjuan-Pla, A.R. Manas, R.A. Smith, M.P. Murphy, Targeting lipoic acid to mitochondria: synthesis and characterization of a triphenylphosphonium-conjugated alpha-lipoyl derivative, Free Radic Biol Med, 42 (2007) 1766–1780.
- ↑ V.P. Skulachev, V.N. Anisimov, Y.N. Antonenko, L.E. Bakeeva, B.V. Chernyak, V.P. Erichev, O.F. Filenko, N.I. Kalinina, V.I. Kapelko, N.G. Kolosova, B.P. Kopnin, G.A. Korshunova, M.R. Lichinitser, L.A. Obukhova, E.G. Pasyukova, O.I. Pisarenko, V.A. Roginsky, E.K. Ruuge, Senin, II, Severina, II, M.V. Skulachev, I.M. Spivak, V.N. Tashlitsky, V.A. Tkachuk, M.Y. Vyssokikh, L.S. Yaguzhinsky, D.B. Zorov, An attempt to prevent senescence: A mitochondrial approach, Biochim Biophys Acta, 1787 (2009) 437-461.
- ↑ J. Trnka, F.H. Blaikie, R.A.J. Smith, M.P. Murphy, A mitochondria-targeted nitroxide is reduced to its hydroxylamine by ubiquinol in mitochondria, Free Radic Biol Med, 44 (2008) 1406–1419.
- ↑ H.M. Cocheme, C. Quin, S.J. McQuaker, F. Cabreiro, A. Logan, T.A. Prime, I. Abakumova, J.V. Patel, I.M. Fearnley, A.M. James, C.M. Porteous, R.A. Smith, S. Saeed, J.E. Carre, M. Singer, D. Gems, R.C. Hartley, L. Partridge, M.P. Murphy, Measurement of H2O2 within living Drosophila during aging using a ratiometric mass spectrometry probe targeted to the mitochondrial matrix, Cell metabolism, 13 (2011) 340-350.
- ↑ K.M. Robinson, M.S. Janes, M. Pehar, J.S. Monette, M.F. Ross, T.M. Hagen, M.P. Murphy, J.S. Beckman, Selective fluorescent imaging of superoxide in vivo using ethidium-based probes, Proc Natl Acad Sci U S A, 103 (2006) 15038-15043.
- ↑ T.A. Prime, M. Forkink, A. Logan, P.G. Finichiu, J. McLachlan, P.B. Li Pun, W.J. Koopman, L. Larsen, M.J. Latter, R.A. Smith, M.P. Murphy, A ratiometric fluorescent probe for assessing mitochondrial phospholipid peroxidation within living cells, Free radical biology & medicine, 53 (2012) 544-553.
- ↑ M. Hardy, F. Chalier, O. Ouari, J.P. Finet, A. Rockenbauer, B. Kalyanaraman, P. Tordo, Mito-DEPMPO synthesized from a novel NH2-reactive DEPMPO spin trap: a new and improved trap for the detection of superoxide, Chemical communications (Cambridge, England), (2007) 1083–1085.
- ↑ S. Chalmers, S.T. Caldwell, C. Quin, T.A. Prime, A.M. James, A. Cairns, M.P. Murphy, J.G. McCarron, R.C. Hartley, Selective Uncoupling of Individual Mitochondria within a Cell using a Mitochondria-Targeted Photoactivated Protonophore, JACS, (2012).
- ↑ H.H. Szeto, P.W. Schiller, Novel therapies targeting inner mitochondrial membrane--from discovery to clinical development, Pharmaceutical research, 28 (2011) 2669–2679.
- ↑ L. Yang, K. Zhao, N.Y. Calingasan, G. Luo, H.H. Szeto, M.F. Beal, Mitochondria targeted peptides protect against 1-methyl-4-phenyl-1,2,3,6-tetrahydropyridine neurotoxicity, Antioxidants & redox signaling, 11 (2009) 2095–2104.
- ↑ L.F. Yousif, K.M. Stewart, S.O. Kelley, Targeting mitochondria with organelle-specific compounds: Strategies and applications, Chembiochem, 10 (2009) 1939–1950.
- ↑ L.F. Yousif, K.M. Stewart, K.L. Horton, S.O. Kelley, Mitochondria-penetrating peptides: Sequence effects and model cargo transport, Chembiochem, 10 (2009) 2081–2088.
External links
- JBC Article – Interaction of the Mitochondria-targeted Antioxidant MitoQ with Phospholipid Bilayers and Ubiquinone Oxidoreductases
- James, AM; Sharpley, MS; Manas, AR; Frerman, FE; Hirst, J; Smith, RA; Murphy, MP (May 18, 2007). "Interaction of the mitochondria-targeted antioxidant MitoQ with phospholipid bilayers and ubiquinone oxidoreductases.". The Journal of Biological Chemistry. 282 (20): 14708–18. doi:10.1074/jbc.m611463200. PMID 17369262.
- Medical Research Council – Targeting Small Molecules to Mitochondria
- MitoQ Official Website
