Pinner reaction
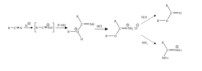
The Pinner reaction (after Adolf Pinner) is an organic reaction of a nitrile with an alcohol using an acid catalyst, for instance, sulfuric acid.[1] The product formed is the mineral acid salt of an imino ester or an alkyl imidate, which sometimes is called a Pinner salt. The reaction is a sequence of nucleophilic additions.[2][3][4][5]
These salts can react with an excess of alcohol to form the orthoester RC(OR)3, with ammonia or an amine to form an amidine or with water to form an ester.

It should be appreciated that the Pinner reaction refers specifically to an acid catalyzed process, but that similar results can often be achieved using base catalysis. The two approaches can be complementary, with nitriles which are unreactive under acid conditions often giving better results in the presence of base, and vice versa.[6] The determining factor is typically how electron-rich or poor the nitrile is. For example: an electron-poor nitrile is a good electrophile (readily susceptible to attack from alkoxides etc.) but a poor nucleophile (difficult to protonate) and would therefore be expected to react more readily under basic rather than acidic conditions.
See also
- Stephen aldehyde synthesis - essentially the same reaction but including a reduction and with water as the nucleophile; generates the aldehyde.
- Overman rearrangement
- Hoesch reaction
References
- ↑ Adams, Roger; Thal, A. F. (1922). "Ethyl Phenylacetate". Organic Syntheses. 2: 27. doi:10.15227/orgsyn.002.0027.
- ↑ A. Pinner, F. Klein; Klein (1877). "Umwandlung der Nitrile in Imide". Berichte der deutschen chemischen Gesellschaft. 10 (2): 1889–1897. doi:10.1002/cber.187701002154.
- ↑ A. Pinner, Fr. Klein; Klein (1878). "Umwandlung der Nitrile in Imide". Berichte der deutschen chemischen Gesellschaft. 11 (2): 1475–1487. doi:10.1002/cber.18780110258.
- ↑ A. Pinner (1883). "Ueber die Umwandlung der Nitrile in Imide". Berichte der deutschen chemischen Gesellschaft. 16 (2): 1643–1655. doi:10.1002/cber.18830160235.
- ↑ Roger, R.; Neilson, D. G. (1961). "The Chemistry of Imidates". Chem. Rev. 61 (2): 179–211. doi:10.1021/cr60210a003.
- ↑ Schaefer, F. C.; Peters, G. A. (1961). "Base-Catalyzed Reaction of Nitriles with Alcohols. A Convenient Route to Imidates and Amidine Salts". The Journal of Organic Chemistry. 26 (2): 412. doi:10.1021/jo01061a034.