Pompeiu derivative
In mathematical analysis, a Pompeiu derivative is a real-valued function of one real variable that is the derivative of an everywhere differentiable function and that vanishes in a dense set. In particular, a Pompeiu derivative is discontinuous at any point where it is not 0. Whether non-identically zero such functions may exist was a problem that arose in the context of early-1900s research on functional differentiability and integrability. The question was affirmatively answered by Dimitrie Pompeiu by constructing an explicit example; these functions are therefore named after him.
Pompeiu's construction
Pompeiu's construction is described here. Let
denote the real cubic root of the real number
Let
be an enumeration of the rational numbers in the unit interval
Let
be positive real numbers with
Define, for all ![x\in [0,\,1]](../I/m/ef8197ad111bb26b1ba2c2e33d2480ed.png)
Since for any
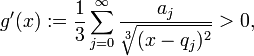
each term of the series is less than or equal to aj in absolute value, the series uniformly converges to a continuous, strictly increasing function g(x), due to the Weierstrass M-test. Moreover, it turns out that the function g is differentiable, with
at any point where the sum is finite; also, at all other points, in particular, at any of the
one has
Since the image of
is a closed bounded interval with left endpoint
up to a multiplicative constant factor one can assume that g maps the interval
onto itself. Since g is strictly increasing, it is a homeomorphism; and by the theorem of differentiation of the inverse function, its composition inverse
has a finite derivative at any point, which vanishes at least in the points
These form a dense subset of
(actually, it vanishes in many other points; see below).
Properties
- It is known that the zero-set of a derivative of any everywhere differentiable function is a Gδ subset of the real line. By definition, for any Pompeiu function this set is a dense Gδ set, therefore by the Baire category theorem it is a residual set. In particular, it possesses uncountably many points.
- A linear combination af(x) + bg(x) of Pompeiu functions is a derivative, and vanishes on the set {f = 0} ∩ {g = 0}, which is a dense Gδ by the Baire category theorem. Thus, Pompeiu functions are a vector space of functions.
- A limit function of a uniformly convergent sequence of Pompeiu derivatives is a Pompeiou derivative. Indeed, it is a derivative, due to the theorem of limit under the sign of derivative. Moreover, it vanishes in the intersection of the zero sets of the functions of the sequences: since these are dense Gδ sets, the zero set of the limit function is also dense.
- As a consequence, the class E of all bounded Pompeiu derivatives on an interval [a, b] is a closed linear subspace of the Banach space of all bounded functions under the uniform distance (hence, it is a Banach space).
- Pompeiu's above construction of a positive function is a rather peculiar example of a Pompeiu's function: a theorem of Weil states that generically a Pompeiu derivative assumes both positive and negative values in dense sets, in the precise meaning that such functions constitute a residual set of the Banach space E.
References
- Pompeiu, Dimitrie, "Sur les fonctions dérivées"; Math. Ann. 63 (1907), no. 3, 326—332.
- Andrew M. Bruckner, "Differentiation of real functions"; CRM Monograph series, Montreal (1994).
![g(x):=\sum_{j=0}^\infty \,a_j \sqrt[3]{x-q_j}.](../I/m/2588a3f8da7ff0b6cb75dedb8673d4aa.png)
![g^{\prime}(x):=\frac{1}{3}\sum_{j=0}^\infty \frac{a_j}{\sqrt[3]{(x-q_j)^2}}>0,](../I/m/525d44e789a337162c1f048910c86722.png)