Propanil
![]() | |
![]() | |
| Names | |
|---|---|
| IUPAC name
N-(3,4-Dichlorophenyl)propanamide | |
| Identifiers | |
| 709-98-8 | |
| 3D model (Jmol) | Interactive image |
| ChEMBL | ChEMBL1222498 |
| ChemSpider | 4764 |
| ECHA InfoCard | 100.010.832 |
| KEGG | C14229 |
| PubChem | 4933 |
| |
| |
| Properties | |
| C9H9Cl2NO | |
| Molar mass | 218.08 g/mol |
| Appearance | White crystalline solid (pure), Brown powder (impure) |
| Melting point | 91 to 93 °C (196 to 199 °F; 364 to 366 K) |
| 225 ppm | |
| Hazards | |
| Lethal dose or concentration (LD, LC): | |
| LD50 (median dose) |
1384 mg/kg (rat, oral) |
| Except where otherwise noted, data are given for materials in their standard state (at 25 °C [77 °F], 100 kPa). | |
| | |
| Infobox references | |
Propanil is a widely used contact herbicide. With an estimated use of about 8 million pounds in 2001, it is one of the more widely used herbicides in the United States.[2] Propanil is said to be in use in approximately 400,000 acres of rice production each year.[3]
Mode of action
The principal mode of propanil's herbicidal action against weeds is inhibition of their photosynthesis and CO2 fixation. Plants photosynthesize in two stage. In stage I photosynthetic reactions capture sunlight energy and yield molecules with high energy content. In stage II these molecules react to capture CO2, yielding carbohydrate precursors. In the stage I reaction a chlorophyll molecule absorbs one photon (light) and loses one electron, starting an electron transport chain reaction leading to the stage II reactions. Propanil inhibits the electron transport chain reaction and its conversion of CO2 to carbohydrate precursors. That inhibits further development of the weed.[4]
Rice is relatively immune to propanil but most weeds are susceptible to it. The reason for the selectivity is that rice contains a high level of the enzyme aryl acylamidase (AAA), which rapidly metabolizes propanil to relativity nontoxic 3,4-dichloroaniline. Susceptible weeds lack the gene(s) coding for the AAA enzyme and thus succumb to propanil. However, intensive use of propanil and natural selection have caused some weeds to become resistant to propanil.[5]
Synthesis
Propanil is made industrially by nitration of 1,2-dichlorobenzene (1) to give 1,2-dichloro-4-nitrobenzene (2), followed by hydrogenation of the nitro group with Raney nickel to give 3,4-dichloroaniline (3). Acylation of the amine with propanoyl chloride yields propanil (4).[6] The resulting product is white or brown crystals.[7]

Patent litigation
Propanil was the subject of several patent infringement suits. In one, Monsanto Co. v. Rohm and Haas Co.,[8] the United States Court of Appeals for the Third Circuit held that Monsanto committed fraud on the Patent Office in procuring its patent on propanil.

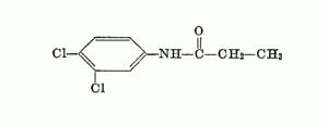
Monsanto obtained the patent by providing data to the Patent Office showing that propanil "had "unusual and valuable herbicidal activity" and that its activity was "surprising" because "related compounds possess little or no herbicidal efficiency." Monsanto had conducted a number of tests and submitted test data to the Patent Office that indicated that propanil was superior to other similar chemicals, including one chemical that differed from propanil only in eliminating the CH2 group to the left of the CH3 group at the far right of the diagram shown at above right. (The two chemicals are so-called adjacent homologues.)
But Monsanto had withheld data on those tests that showed that other similar compounds also had herbicidal activity similar to that of propanil. The court said that this amounted to a misrepresentation and Monsanto was not entitled to a patent, so that the patent was invalid or unenforceable. In an earlier case, however, a judge had accepted Monsanto's argument that Monsanto "did nothing more than put their best foot forward" with the Patent Office.[9]
References
- ↑ Merck Index, 11th Edition, 7814.
- ↑ 2000-2001 Pesticide Market Estimates, U.S. Environmental Protection Agency
- ↑ Management of Propanil Resistant Sedges, UC Rice Blog (June 19, 2014).
- ↑ Irina V. Ustyugova, Propanil (3,4-DCPA)-induced alterations of macrophage function 2-3 (Ph.D. thesis 2007). See also Inhibition of Photosynthesis: Inhibition at Photosystem II §§ 1–4.
- ↑ Herbicide Resistance and World Grains 215-16 (Stephen B. Powles & Dale L Shaner eds. 2001).
- ↑ Wyatt, Stuart Warren, Paul (2008). Organic synthesis : the disconnection approach (2nd ed.). Oxford: Wiley-Blackwell. p. 25. ISBN 978-0-470-71236-8.
- ↑ Propanil in PubChem Open Chemistry Database.
- ↑ 456 F.2d 592 (3d Cir. 1972).
- ↑ See 456 F.2d at 597 n.4.
External links
- Propanil in the Pesticide Properties DataBase (PPDB)

