Rabi problem
The Rabi problem concerns the response of an atom to an applied harmonic electric field, with an applied frequency very close to the atom's natural frequency. It provides a simple and generally solvable example of light-atom interactions.
Classical Rabi Problem
In the classical approach, the Rabi problem can be represented by the solution to the driven, damped harmonic oscillator with the electric part of the Lorentz force as the driving term:
,
where it has been assumed that the atom can be treated as a charged particle (of charge e) oscillating about its equilibrium position around a neutral atom. Here, xa is its instantaneous magnitude of oscillation,
its natural oscillation frequency, and
its natural lifetime:
,
which has been calculated based on the dipole oscillator's energy loss from electromagnetic radiation.
To apply this to the Rabi problem, one assumes that the electric field E is oscillatory in time and constant in space:
and xa is decomposed into a part ua that is in-phase with the driving E field (corresponding to dispersion), and a part va that is out of phase (corresponding to absorption):
Here, x0 is assumed to be constant, but ua and va are allowed to vary in time. However, if we assume we are very close to resonance (
), then these values will be slowly varying in time, and we can make the assumption that
,
and
,
.
With these assumptions, the Lorentz force equations for the in-phase and out-of-phase parts can be rewritten as,
where we have replaced the natural lifetime
with a more general effective lifetime T (which could include other interactions such as collisions), and have dropped the subscript a in favor of the newly defined detuning
, which serves equally well to distinguish atoms of different resonant frequencies. Finally, the constant
has been defined:
These equations can be solved as follows:
After all transients have died away, the steady state solution takes the simple form,
where "c.c." stands for the complex conjugate of the opposing term.
Two-level atom
Semiclassical approach
- See also optical Bloch equations
The classical Rabi problem gives some basic results and a simple to understand picture of the issue, but in order to understand phenomena such as inversion, spontaneous emission, and the Bloch-Siegert shift, a fully quantum mechanical treatment is necessary.
The simplest approach is through the two-level atom approximation, in which one only treats two energy levels of the atom in question. No atom with only two energy levels exists in reality, but a transition between, for example, two hyperfine states in an atom can be treated, to first approximation, as if only those two levels existed, assuming the drive is not too far off resonance.
The convenience of the two-level atom is that any two-level system evolves in essentially the same way as a spin-1/2 system, in accordance to the Bloch equations, which define the dynamics of the pseudo-spin vector in an electric field:
where we have made the rotating wave approximation in throwing out terms with high angular velocity (and thus small effect on the total spin dynamics over long time periods), and transformed into a set of coordinates rotating at a frequency
.
There is a clear analogy here between these equations and those that defined the evolution of the in-phase and out-of-phase components of oscillation in the classical case. Now, however, there is a third term w which can be interpreted as the population difference between the excited and ground state (varying from -1 to represent completely in the ground state to +1, completely in the excited state). Keep in mind that for the classical case, there was a continuous energy spectra that the atomic oscillator could occupy, while for the quantum case (as we've assumed) there are only two possible (eigen)states of the problem.
These equations can be also be stated in matrix form:
It is noteworthy that these equations can be written as a vector precession equation:
where
is the pseudo-spin vector and
acts as an effective torque.
As before, the Rabi problem is solved by assuming the electric field E is oscillatory with constant magnitude E0:
. In this case, the solution can be found by applying two successive rotations to the matrix equation above, of the form
and
where
Here, the frequency
is known as the generalized Rabi frequency, which gives the rate of precession of the pseudo-spin vector about the transformed u' -axis (given by the first coordinate transformation above). As an example, if the electric field (or laser) is exactly on resonance (such that
), then the pseudo-spin vector will precess about the u axis at a rate of
. If this (on-resonance) pulse is shone on a collection of atoms originally all in their ground state (w = -1) for a time
, then after the pulse, the atoms will now all be in their excited state (w = 1) because of the
(or 180 degree) rotation about the u axis. This is known as a
-pulse, and has the result of a complete inversion.
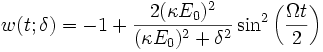
The general result is given by,
The expression for the inversion w can be greatly simplified if the atom is assumed to be initially in its ground state (w0 = -1) with u0 = v0 = 0, in which case,
Multimedia
A Java applet that visualizes Rabi Cycles of two-state systems (laser driven):
Quantum field theory approach
In Bloch's approach, the field is not quantized, and neither the resulting coherence nor the resonnance is well explained.
Need work for the QFT approach, mainly Jaynes-Cummings model.
References
- L. Allen and J. H. Eberly, Optical Resonance and Two-Level Atoms, (Dover: New York, 1987).
![E = E_0[e^{i\omega t} + e^{-i\omega t}]](../I/m/bc56cf67eb9471e1ed6e54f9a17d7770.png)




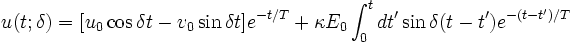
![u(t;\delta) = [u_0 \cos \delta t - v_0 \sin \delta t]e^{-t/T} + \kappa E_0 \int_0^t dt' \sin \delta(t-t')e^{-(t-t')/T}](../I/m/c019b57d5abfd32555f7264316d62e17.png)
![v(t;\delta) = [u_0 \cos \delta t + v_0 \sin \delta t]e^{-t/T} - \kappa E_0 \int_0^t dt' \cos \delta(t-t')e^{-(t-t')/T}](../I/m/814a8983c70b02de14349b0e8e3117bb.png)











