Walden inversion


Walden inversion is the inversion of a chiral center in a molecule in a chemical reaction. Since a molecule can form two enantiomers around a chiral center, the Walden inversion converts the configuration of the molecule from one enantiomeric form to the other. For example, in a SN2 reaction, Walden inversion occurs at a tetrahedral carbon atom. It can be visualized by imagining an umbrella turned inside-out in a gale.
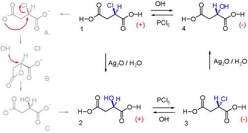
It was first observed by chemist Paul Walden in 1896. He was able to convert one enantiomer of a chemical compound into the other enantiomer and back again in a so-called Walden cycle which went like this: (+) chlorosuccinic acid (1 in scheme 1) was converted to (+) malic acid 2 by action of silver oxide in water with retention of configuration, in the next step the hydroxyl group was replaced by chlorine to the other isomer of chlorosuccinic acid 3 by reaction with phosphorus pentachloride, a second reaction with silver oxide yielded (-) malic acid 4 and finally a second reaction with PCl5 returned the cycle to its starting point.[1]
In this reaction the silver oxide in the first step acts as a hydroxide donor and silver does not play an actual role. The intermediates are the carboxyl dianion A which gives an intramolecular nucleophilic substitution to a four-membered β-lactone ring B. The other carboxyl group is also reactive but in silico data show that the transition state for the formation of the three-membered α-lactone is very high. A hydroxyl ion ring-opens the lactone back to the alcohol C and the net effect of two counts of inversion is retention of configuration.[2]
See also
- Another demonstration of the Walden cycle in the Brook rearrangement.
References
- ↑ P. Walden (1896). "Ueber die gegenseitige Umwandlung optischer Antipoden". Berichte der deutschen chemischen Gesellschaft. 29 (1): 133–138. doi:10.1002/cber.18960290127.
- ↑ The Walden cycle revisited: a computational study of competitive ring closure to α- and β-lactones J. Grant Buchanan, Richard A. Diggle,vrushang desai, Giuseppe D. Ruggiero and Ian H. Williams and Cliff Richard Chemical Communications, 2006, 1106 - 1108 Abstract.
