Salvia candelabrum
| Salvia candelabrum | |
|---|---|
![]() | |
| Scientific classification | |
| Kingdom: | Plantae |
| (unranked): | Angiosperms |
| (unranked): | Eudicots |
| (unranked): | Asterids |
| Order: | Lamiales |
| Family: | Lamiaceae |
| Genus: | Salvia |
| Species: | S. candelabrum |
| Binomial name | |
| Salvia candelabrum Boiss. | |
Salvia candelabrum is a species of flowering plant in the family Lamiaceae, native to Spain. It is a woody-based perennial growing to 100 cm (39 in), with woolly grey-green leaves that resemble those of the common sage, S. officinalis, and emit a similar scent when crushed. In summer it bears violet-blue flowers on branching stems held high above the foliage.[1][2]
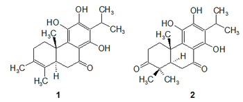
Diterpenes have been isolated from its green tissues.[3] From the aerial parts of Salvia candelabrum have been isolated β-sitosterol, nepeticin (lup-20(29)-ene-3j,lla-diol), candelabrone (11,12,14-trihydroxy-8,11,13-abietatriene-3,7-dione), the rearranged abietane diterpenoids candesalvone A (11,12,14-trihydroxy-19(4→3)-abeo-3,8,11,13-abietatetraen-7-one) and candesalvone B (11,12,14-trihydroxy-7-oxo-3,4-seco-4(18),8,11,13-abietatetraen-3-oic acid), and large amounts of ursolic and oleanolic acids. The root bark afforded 7α-acetoxyroyleanone, 12-O-methypisiferic acid and sugol.[4]

This plant has ornamental value in the garden, and has gained the Royal Horticultural Society's Award of Garden Merit.[5]
Notes
- ↑ Bourne, Val. "Salvia candelabrum: How to grow". The Telegraph. Retrieved 3 July 2013.
- ↑ Salvia candelabrum information from NPGS/GRIN
- ↑ Janicsak, G., et al. (2003). Diterpenes from the aerial parts of Salvia candelabrum and their protective effects against lipid peroxidation. Planta medica. 69:12 p. 1156-1159
- ↑ Mendes, et al. "DITERPENOIDS FROM Salvia candelabrum". Phytochemistry, Vol 28, No 6, pp 1685-1690, 1989
- ↑ "RHS Plant Selector - Salvia candelabrum". Retrieved 3 July 2013.
