Skraup reaction
| Skraup reaction | |
|---|---|
| Named after | Zdenko Hans Skraup |
| Reaction type | Ring forming reaction |
| Identifiers | |
| RSC ontology ID | RXNO:0000062 |
The Skraup synthesis is a chemical reaction used to synthesize quinolines. It is named after the Czech chemist Zdenko Hans Skraup (1850-1910). In the archetypal Skraup reaction, aniline is heated with sulfuric acid, glycerol, and an oxidizing agent such as nitrobenzene to yield quinoline.[1][2][3][4]

In this example, nitrobenzene serves as both the solvent and the oxidizing agent. The reaction, which otherwise has a reputation for being violent, is typically conducted in the presence of ferrous sulfate.[5] Arsenic acid may be used instead of nitrobenzene and the former is better since the reaction is less violent.[6]
Reaction mechanism
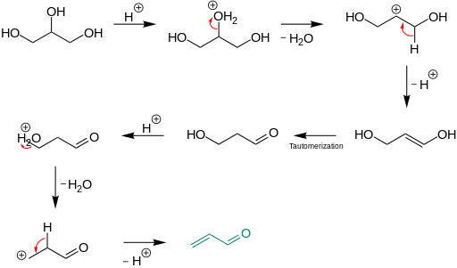
The reaction most likely begins with the acid catalyzed dehydration of glycerol to form acrolein.

This then undergoes 1,4-addition in a manner broadly similar to that of the Doebner–Miller reaction. Acrolein itself is not used since it undergoes polymerisations under the conditions of the experiment.[6]

See also
References
- ↑ Skraup, Z. H. (1880). "Eine Synthese des Chinolins". Berichte. 13: 2086.
- ↑ Manske, R. H. F. (1942). "The Chemistry of Quinolines.". Chem. Rev. 30: 113. doi:10.1021/cr60095a006.
- ↑ Manske, R. H. F.; Kulka, M. (1953). Org. React. 7: 80–99. Missing or empty
|title=(help) - ↑ Wahren, M. (1964). "Stabilisotop markierte verbindungen—II , Untersuchung der skraupschen chinolin-synthese mit hilfe von 15N". Tetrahedron. 20 (12): 2773. doi:10.1016/S0040-4020(01)98495-9.
- ↑ Clarke, H. T.; Davis, A. W. (1941). "Quinoline". Org. Synth.; Coll. Vol., 1, p. 478
- 1 2 Finar, I. L.; "Organic Chemistry" Volume 1, page 857 (1973)