Sonic boom




A sonic boom is the sound associated with the shock waves created by an object traveling through the air faster than the speed of sound. Sonic booms generate enormous amounts of sound energy, sounding much like an explosion. The crack of a supersonic bullet passing overhead or the crack of a bullwhip are examples of a sonic boom in miniature.[2]
Causes
When an aircraft passes through the air it creates a series of pressure waves in front of it and behind it, similar to the bow and stern waves created by a boat. These waves travel at the speed of sound, and as the speed of the object increases, the waves are forced together, or compressed, because they cannot get out of the way of each other. Eventually they merge into a single shock wave, which travels at the speed of sound, a critical speed known as Mach 1, and is approximately 1,225 km/h (761 mph) at sea level and 20 °C (68 °F).
In smooth flight, the shock wave starts at the nose of the aircraft and ends at the tail. Because the different radial directions around the aircraft's direction of travel are equivalent (given the "smooth flight" condition), the shock wave forms a Mach cone, similar to a vapour cone, with the aircraft at its tip. The half-angle between direction of flight and the shock wave is given by:
- ,
where is the inverse () of the plane's Mach number (). Thus the faster the plane travels, the finer and more pointed the cone is.
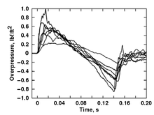
There is a rise in pressure at the nose, decreasing steadily to a negative pressure at the tail, followed by a sudden return to normal pressure after the object passes. This "overpressure profile" is known as an N-wave because of its shape. The "boom" is experienced when there is a sudden change in pressure; therefore, an N-wave causes two booms – one when the initial pressure-rise reaches an observer, and another when the pressure returns to normal. This leads to a distinctive "double boom" from a supersonic aircraft. When the aircraft is maneuvering, the pressure distribution changes into different forms, with a characteristic U-wave shape.
Since the boom is being generated continually as long as the aircraft is supersonic, it fills out a narrow path on the ground following the aircraft's flight path, a bit like an unrolling red carpet, and hence known as the boom carpet. Its width depends on the altitude of the aircraft. The distance from the point on the ground where the boom is heard to the aircraft depends on its altitude and the angle .
For today's supersonic aircraft in normal operating conditions, the peak overpressure varies from less than 50 to 500 Pa (1 to 10 psf (pound per square foot)) for an N-wave boom. Peak overpressures for U-waves are amplified two to five times the N-wave, but this amplified overpressure impacts only a very small area when compared to the area exposed to the rest of the sonic boom. The strongest sonic boom ever recorded was 7,000 Pa (144 psf) and it did not cause injury to the researchers who were exposed to it. The boom was produced by an F-4 flying just above the speed of sound at an altitude of 100 feet (30 m).[3] In recent tests, the maximum boom measured during more realistic flight conditions was 1,010 Pa (21 psf). There is a probability that some damage — shattered glass, for example — will result from a sonic boom. Buildings in good condition should suffer no damage by pressures of 530 Pa (11 psf) or less. And, typically, community exposure to sonic boom is below 100 Pa (2 psf). Ground motion resulting from sonic boom is rare and is well below structural damage thresholds accepted by the U.S. Bureau of Mines and other agencies.[4]
The power, or volume, of the shock wave depends on the quantity of air that is being accelerated, and thus the size and shape of the aircraft. As the aircraft increases speed the shock cone gets tighter around the craft and becomes weaker to the point that at very high speeds and altitudes no boom is heard. The "length" of the boom from front to back depends on the length of the aircraft to a power of 3/2. Longer aircraft therefore "spread out" their booms more than smaller ones, which leads to a less powerful boom.[5]
Several smaller shock waves can and usually do form at other points on the aircraft, primarily at any convex points, or curves, the leading wing edge, and especially the inlet to engines. These secondary shockwaves are caused by the air being forced to turn around these convex points, which generates a shock wave in supersonic flow.
The later shock waves are somewhat faster than the first one, travel faster and add to the main shockwave at some distance away from the aircraft to create a much more defined N-wave shape. This maximizes both the magnitude and the "rise time" of the shock which makes the boom seem louder. On most aircraft designs the characteristic distance is about 40,000 feet (12,000 m), meaning that below this altitude the sonic boom will be "softer". However, the drag at this altitude or below makes supersonic travel particularly inefficient, which poses a serious problem.
Measurement and examples
The pressure from sonic booms caused by aircraft often are a few pounds per square foot. A vehicle flying at greater altitude will generate lower pressures on the ground, because the shock wave reduces in intensity as it spreads out away from the vehicle, but the sonic booms are less affected by vehicle speed.
| Aircraft | speed | altitude | pressure (lbf/ft2) | pressure (Pa) |
|---|---|---|---|---|
| SR-71 Blackbird | Mach 3+ | 80,000 feet (24,000 m) | 0.9 | 43 |
| Concorde (SST) | Mach 2 | 52,000 feet (16,000 m) | 1.94 | 93 |
| F-104 Starfighter | Mach 1.93 | 48,000 feet (15,000 m) | 0.8 | 38 |
| Space Shuttle | Mach 1.5 | 60,000 feet (18,000 m) | 1.25 | 60 |
Abatement

In the late 1950s when supersonic transport (SST) designs were being actively pursued, it was thought that although the boom would be very large, the problems could be avoided by flying higher. This assumption was proven false when the North American B-70 Valkyrie started flying, and it was found that the boom was a problem even at 70,000 feet (21,000 m). It was during these tests that the N-wave was first characterized.
Richard Seebass and his colleague Albert George at Cornell University studied the problem extensively and eventually defined a "figure of merit" (FM) to characterize the sonic boom levels of different aircraft. FM is a function of the aircraft weight and the aircraft length. The lower this value, the less boom the aircraft generates, with figures of about 1 or lower being considered acceptable. Using this calculation, they found FMs of about 1.4 for Concorde and 1.9 for the Boeing 2707. This eventually doomed most SST projects as public resentment mixed with politics eventually resulted in laws that made any such aircraft impractical (flying supersonically only over water for instance). Another way to express this is wing span. The fuselage of even a large supersonic aircraft is very sleek and with enough angle of attack and wing span the plane can fly so high that the boom by the fuselage is not important. The larger the wing span, the greater the downwards impulse which can be applied to the air, the greater the boom felt. A smaller wing span favors small aeroplane designs like business jets.[5]
Seebass and George also worked on the problem from a different angle, trying to spread out the N-wave laterally and temporally (longitudinally), by producing a strong and downwards-focused (SR-71 Blackbird, Boeing X-43) shock at a sharp, but wide angle nosecone, which will travel at slightly supersonic speed (bow shock), and using a swept back flying wing or an oblique flying wing to smooth out this shock along the direction of flight (the tail of the shock travels at sonic speed). To adapt this principle to existing planes, which generate a shock at their nose cone and an even stronger one at their wing leading edge, the fuselage below the wing is shaped according to the area rule. Ideally this would raise the characteristic altitude from 40,000 feet (12,000 m) to 60,000 feet (from 12,000 m to 18,000 m), which is where most SST aircraft fly.[5]
_DARPA_sonic_tests_04.07R.jpg)
This remained untested for decades, until DARPA started the Quiet Supersonic Platform project and funded the Shaped Sonic Boom Demonstration (SSBD) aircraft to test it. SSBD used an F-5 Freedom Fighter. The F-5E was modified with a highly refined shape which lengthened the nose to that of the F-5F model. The fairing extended from the nose all the way back to the inlets on the underside of the aircraft. The SSBD was tested over a two-year period culminating in 21 flights and was an extensive study on sonic boom characteristics. After measuring the 1,300 recordings, some taken inside the shock wave by a chase plane, the SSBD demonstrated a reduction in boom by about one-third. Although one-third is not a huge reduction, it could have reduced Concorde's boom to an acceptable level; one below the FM = 1 limit stated above, for instance.
As a follow-on to SSBD, in 2006 a NASA-Gulfstream Aerospace team tested the Quiet Spike on NASA-Dryden's F-15B aircraft 836. The Quiet Spike is a telescoping boom fitted to the nose of an aircraft specifically designed to weaken the strength of the shock waves forming on the nose of the aircraft at supersonic speeds. Over 50 test flights were performed. Several flights included probing of the shockwaves by a second F-15B, NASA's Intelligent Flight Control System testbed, aircraft 837.
There are theoretical designs that do not appear to create sonic booms at all, such as the Busemann's Biplane. However, creating a shockwave is inescapable if they generate aerodynamic lift.[5]
Perception, noise and other concerns
The sound of a sonic boom depends largely on the distance between the observer and the aircraft shape producing the sonic boom. A sonic boom is usually heard as a deep double "boom" as the aircraft is usually some distance away. However, as those who have witnessed landings of space shuttles have heard, when the aircraft is nearby the sonic boom is a sharper "bang" or "crack". The sound is much like that of fireworks used for displays. It is a common misconception that only one boom is generated during the subsonic to supersonic transition; rather, the boom is continuous along the boom carpet for the entire supersonic flight. As a former Concorde pilot puts it, "You don't actually hear anything on board. All we see is the pressure wave moving down the aeroplane - it gives an indication on the instruments. And that's what we see around Mach 1. But we don't hear the sonic boom or anything like that. That's rather like the wake of a ship - it's behind us.".[7]
In 1964, NASA and the Federal Aviation Administration began the Oklahoma City sonic boom tests, which caused eight sonic booms per day over a period of six months. Valuable data was gathered from the experiment, but 15,000 complaints were generated and ultimately entangled the government in a class action lawsuit, which it lost on appeal in 1969.
Sonic booms were also a nuisance in North Cornwall and North Devon as these areas were underneath the flight path of Concorde. Windows would rattle and in some cases the "torching" (pointing underneath roof slates) would be dislodged with the vibration.
There has been recent work in this area, notably under DARPA's Quiet Supersonic Platform studies. Research by acoustics experts under this program began looking more closely at the composition of sonic booms, including the frequency content. Several characteristics of the traditional sonic boom "N" wave can influence how loud and irritating it can be perceived by listeners on the ground. Even strong N-waves such as those generated by Concorde or military aircraft can be far less objectionable if the rise time of the overpressure is sufficiently long. A new metric has emerged, known as perceived loudness, measured in PLdB. This takes into account the frequency content, rise time, etc. A well-known example is the snapping of one's fingers in which the "perceived" sound is nothing more than an annoyance.
The energy range of sonic boom is concentrated in the 0.1–100 hertz frequency range that is considerably below that of subsonic aircraft, gunfire and most industrial noise. Duration of sonic boom is brief; less than a second, 100 milliseconds (0.1 second) for most fighter-sized aircraft and 500 milliseconds for the space shuttle or Concorde jetliner. The intensity and width of a sonic boom path depends on the physical characteristics of the aircraft and how it is operated. In general, the greater an aircraft's altitude, the lower the overpressure on the ground. Greater altitude also increases the boom's lateral spread, exposing a wider area to the boom. Overpressures in the sonic boom impact area, however, will not be uniform. Boom intensity is greatest directly under the flight path, progressively weakening with greater horizontal distance away from the aircraft flight track. Ground width of the boom exposure area is approximately 1 statute mile (1.6 km) for each 1,000 feet (300 m) of altitude (the width is about five times the altitude); that is, an aircraft flying supersonic at 30,000 feet (9,100 m) will create a lateral boom spread of about 30 miles (48 km). For steady supersonic flight, the boom is described as a carpet boom since it moves with the aircraft as it maintains supersonic speed and altitude. Some manoeuvers, diving, acceleration or turning, can cause focusing of the boom. Other manoeuvers, such as deceleration and climbing, can reduce the strength of the shock. In some instances weather conditions can distort sonic booms.[4]
Depending on the aircraft's altitude, sonic booms reach the ground two to 60 seconds after flyover. However, not all booms are heard at ground level. The speed of sound at any altitude is a function of air temperature. A decrease or increase in temperature results in a corresponding decrease or increase in sound speed. Under standard atmospheric conditions, air temperature decreases with increased altitude. For example, when sea-level temperature is 59 degrees Fahrenheit (15 °C), the temperature at 30,000 feet (9,100 m) drops to minus 49 degrees Fahrenheit (−45 °C). This temperature gradient helps bend the sound waves upward. Therefore, for a boom to reach the ground, the aircraft speed relative to the ground must be greater than the speed of sound at the ground. For example, the speed of sound at 30,000 feet (9,100 m) is about 670 miles per hour (1,080 km/h), but an aircraft must travel at least 750 miles per hour (1,210 km/h) (Mach 1.12, where Mach 1 equals the speed of sound) for a boom to be heard on the ground.[4]
The composition of the atmosphere is also a factor. Temperature variations, humidity, atmospheric pollution, and winds can all have an effect on how a sonic boom is perceived on the ground. Even the ground itself can influence the sound of a sonic boom. Hard surfaces such as concrete, pavement, and large buildings can cause reflections which may amplify the sound of a sonic boom. Similarly grassy fields and lots of foliage can help attenuate the strength of the overpressure of a sonic boom.
Currently there are no industry accepted standards for the acceptability of a sonic boom. Until such metrics can be established, either through further study or supersonic overflight testing, it is doubtful that legislation will be enacted to remove the current prohibition on supersonic overflight in place in several countries, including the United States.
Health impact
Some studies claim to show that sonic booms from U.S. Navy testing in Vieques, Puerto Rico, increased the incidence of vibroacoustic disease, a thickening of heart tissue. However, other scientists dispute the claims.
Bullwhip

The cracking sound a bullwhip makes when properly wielded is, in fact, a small sonic boom. The end of the whip, known as the "cracker", moves faster than the speed of sound, thus creating a sonic boom.[2] The whip is probably the first human invention to break the sound barrier.
A bullwhip tapers down from the handle section to the cracker. The cracker has much less mass than the handle section. When the whip is sharply swung, the energy is transferred down the length of the tapering whip. Goriely and McMillen showed that the physical explanation is complex, involving the way that a loop travels down a tapered filament under tension.[8]
See also
References
| Wikimedia Commons has media related to Sonic boom. |
- ↑ Haering, Edward A., Jr.; Smolka, James W.; Murray, James E.; Plotkin, Kenneth J. (January 1, 2005). "Flight Demonstration Of Low Overpressure N-Wave Sonic Booms And Evanescent Waves" (PDF). NASA Technical Reports. NASA. Retrieved February 12, 2015.
- 1 2 Mike May, Crackin' Good Mathematics, American Scientist, Volume 90, Number 5, 2002
- ↑ Analyzing Sonic Boom Footprints of Military Jets, Andy S. Rogers, A.O.T, Inc.
- 1 2 3 USAF Fact Sheet 96-03, Armstrong Laboratory, 1996
- 1 2 3 4 Sonic Boom Minimization Richard Seebass
- ↑ Dryden Flight Research Center Fact Sheet: Sonic Booms
- ↑ BBC News interview with former Concorde Pilot (2003)
- ↑ Alain Goriely and Tyler McMillen (2002). "Shape of a Cracking Whip" (PDF). Physical Review Letters. 88 (12): 244301–1—244301–4. Bibcode:2002PhRvL..88x4301G. doi:10.1103/physrevlett.88.244301.
External links
- "Audio Recording of SR-71 Blackbird Sonic Booms - YouTube". Retrieved February 12, 2015.
- Boston Globe profile of Spike Aerospace planned S-521 supersonic jet