SPANphos
![]() | |
| Names | |
|---|---|
| IUPAC name
4,4,4',4',6,6'-Hexamethyl-2,2'-spirobichroman-8,8'-diylbis(diphenylphosphane) | |
| Properties | |
| C47H46O2P2 | |
| Molar mass | 704.814 g/mol |
| Except where otherwise noted, data are given for materials in their standard state (at 25 °C [77 °F], 100 kPa). | |
| | |
| Infobox references | |
SPANphos is an organophosphorus compound used as a ligand in organometallic and coordination chemistry. This compound is a rare example of a trans-spanning ligand and rigidly links mutually trans coordination sites. By virtue of its chiral backbone that forms a chiral cavity over the face of a square planar complexes, e.g. in MCl2(SPANphos) (M = Pd, Pt).
Synthesis
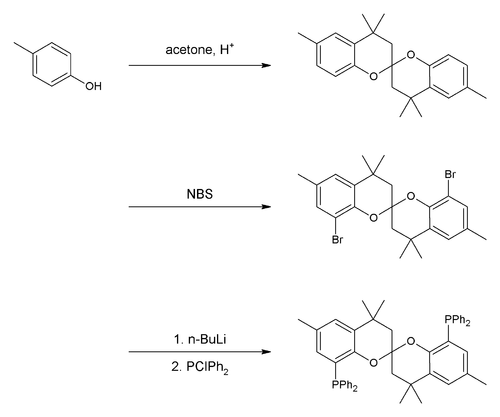
This C2-symmetric trans-diphosphine is synthesized from inexpensive reagents. In the first step 4,4,4',4',6,6'-hexamethyl-2,2'-spirobichroman is prepared via an acid-catalyzed reaction between p-cresol and acetone. The spirane is brominated with N-bromosuccinimide, and the resulting dibromide is metalated with n-BuLi. Treatment of the resulting dilithio derivative with chlorodiphenylphosphine completes the synthesis.[1]
References
- ↑ Z. Freixa, M. S. Beentjes, G. D. Batema, C. B. Dieleman, G. P. F. v. Strijdonck, J. N. H. Reek, P. C. J. Kamer, J. Fraanje, K. Goubitz and P. W. N. M. Van Leeuwen (2003). "SPANphos: A C2-Symmetric trans-Coordinating Diphosphane Ligand". Angewandte Chemie. 42 (11): 1322–1325. doi:10.1002/anie.200390330. PMID 12645065.

