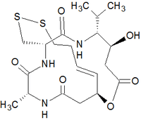
Spiruchostatin
![]() | |
| Names | |
|---|---|
| IUPAC name
(1S,5S,6R,9S,15E,20R)-5-hydroxy-20-methyl-6-(propan-2-yl)-2-oxa-11,12,dithia-7,19,22-triazabicyclo[7.7.6]docos-15-ene-3,8,18,21-tetrone | |
| Identifiers | |
| 3D model (Jmol) | Interactive image |
| |
| Properties | |
| C20H31N3O6S2 | |
| Molar mass | 473.60 g·mol−1 |
| Except where otherwise noted, data are given for materials in their standard state (at 25 °C [77 °F], 100 kPa). | |
| | |
| Infobox references | |
Spiruchostatins are a group of chemical compounds isolated from Pseudomonas sp. as gene expression-enhancing substances. They possess novel bicyclic depsipeptides involving 4-amino-3-hydroxy-5-methylhexanoic acid and 4-amino-3-hydroxy-5-methylheptanoic acid residues.[1] The two main forms are spiruchostatin A and spiruchostatin B.
History
Since the early 1960s, small organic molecules derived naturally from microbes and plants have provided a number of useful cancer chemotherapeutic drugs. The search for naturally occurring lead compounds of this type has continued in recent years, with the constituents of marine fauna and flora as well as those of terrestrial microorganisms and plants being investigated for their anticancer activities.[2] Natural products (NPs) are small molecules produced by living organisms. The term “secondary metabolite” is often used to differentiate NPs from other molecules that are synthesized in the course of primary metabolism.[3]
Uses
Spiruchostatin A is a natural compound that is showing positive signs of development as a prodrug. Very often, prodrugs are made by simple addition of groups, such as acetyl or alkyl chains, to the drug through amide or ester formation.[4] Similarly, in nature there are examples in which protecting groups are added to an NP, as a strategy for self resistance. This evolutionary trait allows the organism to carry the toxic compound harmlessly until the target is presented that activates the NP.
Synthesis
Spiruchostatin A is a member of a class of cyclic, cysteine-containing, depsipeptidic natural products. Due to their histone deacetylase (HDAC) inhibitory activity, tremendous effort has been thrust into the synthesis of these compounds and their analogs as potential chemotherapeutic targets.[5] In human cancers, HDACs are often over-expressed and are recruited to reduce the transcription of tumor suppressor genes and other cell growth regulators. HDAC inhibitors are therefore thought to increase the expression of tumor suppressor genes, and they are an emerging compound class in the treatment of cancers, with several agents either approved or in development.[6]
References
- ↑ Masuoka, Y., Nagai, A., Shin-ya, K., Furihata, K., Nagai, K., Suzuki, K.-i.; et al. (2001). "Spiruchostatins A and B, novel gene expression-enhancing substances produced by Pseudomonas sp.". Tetrahedron Letters: 41–44. doi:10.1016/s0040-4039(00)01874-8.
- ↑ Kinghorn, A. D., Chin, Y.-W., & Swanson, S. M. (2009). " Discovery of Natural Product Anticancer Agents from Biodiverse". Curr Opin Drug Discov Devel: 189–196.
- ↑ Jenke-Kodama, H., Miller, R., & Dittmann, E. (2008). Progress in Drug Research: 121–140. Missing or empty
|title=(help) - ↑ Kwan, J. C., & Luesch, H (2010). " Weapons in Disguise-Activating Mechanisms and Protecting Group Chemistry in Nature.". Chemistry: A European Journal: 1971–1974.
- ↑ Calandra, N. A., Cheng, Y. L., Kocak, K. A., & Miller, J. S. (209). "Total Synthesis of Spiruchostatin A via Chemoselective Macrocyclization using an Accessible Enantiomerically Pure Latent Thioester". Organic Letters. 11 (9): 1971–1974. doi:10.1021/ol900436f. PMID 19331423.
- ↑ Tan, J., Cang, S., Ma, Y., Petrillo, R., & Liu, L. D. (2010). J. Hematol. Oncol.: 3–5. Missing or empty
|title=(help)
