Stern–Volmer relationship

The Stern–Volmer relationship, named after Otto Stern and Max Volmer,[1] allows us to explore the kinetics of a photophysical intermolecular deactivation process.

Processes such as fluorescence and phosphorescence are examples of intramolecular deactivation (quenching) processes. An intermolecular deactivation is where the presence of another chemical species can accelerate the decay rate of a chemical in its excited state. In general, this process can be represented by a simple equation:


\mathrm{A}^* + \mathrm{Q} \rightarrow \mathrm{A} + \mathrm{Q}

or


\mathrm{A}^* + \mathrm{Q} \rightarrow \mathrm{A} + \mathrm{Q}^*

where A is one chemical species, Q is another (known as a quencher) and * designates an excited state.

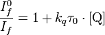
The kinetics of this process follows the Stern–Volmer relationship:


\frac{I_f^0}{I_f} = 1+k_q\tau_0\cdot[\mathrm{Q}]

Where I_f^0 is the intensity, or rate of fluorescence, without a quencher, I_f is the intensity, or rate of fluorescence, with a quencher, k_q is the quencher rate coefficient, \tau_0 is the lifetime of the emissive excited state of A, without a quencher present and [\mathrm{Q}] is the concentration of the quencher.[2]

For diffusion-limited quenching (i.e., quenching in which the time for quencher particles to diffuse toward and collide with excited particles is the limiting factor, and almost all such collisions are effective), the quenching rate coefficient is given by k_q = {8RT}/{3\eta}, where R is the ideal gas constant, T is temperature in kelvin and \eta is the viscosity of the solution. This formula is derived from the Stokes–Einstein relation. In reality, only a fraction of the collisions with the quencher are effective at quenching, so the true quenching rate coefficient must be determined experimentally.[3]

See also

Optode, a chemical sensor that makes use of this relationship

Sources and notes

  1. Mehra and Rechenberg, Volume 1, Part 2, 2001, 849.
  2. Permyakov, Eugene A.. [Luminescent Spectroscopy of Proteins], CRC Press, 1993.
  3. Fluorescence lifetimes and dynamic quenching
This article is issued from Wikipedia - version of the 4/20/2013. The text is available under the Creative Commons Attribution/Share Alike but additional terms may apply for the media files.