Stretched exponential function

The stretched exponential function
is obtained by inserting a fractional power law into the exponential function. In most applications, it is meaningful only for arguments t between 0 and +∞. With β = 1, the usual exponential function is recovered. With a stretching exponent β between 0 and 1, the graph of log f versus t is characteristically stretched, whence the name of the function. The compressed exponential function (with β > 1) has less practical importance, with the notable exception of β = 2, which gives the normal distribution.
In mathematics, the stretched exponential is also known as the complementary cumulative Weibull distribution. The stretched exponential is also the characteristic function, basically the Fourier transform, of the Lévy symmetric alpha-stable distribution.
In physics, the stretched exponential function is often used as a phenomenological description of relaxation in disordered systems. It was first introduced by Rudolf Kohlrausch in 1854 to describe the discharge of a capacitor;[1] therefore it is also called the Kohlrausch function. In 1970, G. Williams and D.C. Watts used the Fourier transform of the stretched exponential to describe dielectric spectra of polymers;[2] in this context, the stretched exponential or its Fourier transform are also called the Kohlrausch-Williams-Watts (KWW) function.
In phenomenological applications, it is often not clear whether the stretched exponential function should apply to the differential or to the integral distribution function—or to neither. In each case one gets the same asymptotic decay, but a different power law prefactor, which makes fits more ambiguous than for simple exponentials. In a few cases[3][4] it can be shown that the asymptotic decay is a stretched exponential, but the prefactor is usually an unrelated power.
Mathematical properties
Moments
Following the usual physical interpretation, we interpret the function argument t as a time, and fβ(t) is the differential distribution. The area under the curve is therefore interpreted as a mean relaxation time. One finds
where Γ is the gamma function. For exponential decay, 〈τ〉 = τK is recovered.
The higher moments of the stretched exponential function are: [5]
- .
Distribution function
In physics, attempts have been made to explain stretched exponential behaviour as a linear superposition of simple exponential decays. This requires a nontrivial distribution of relaxation times, ρ(u), which is implicitly defined by
- .
Alternatively, a distribution
is used.
ρ can be computed from the series expansion:[6]
For rational values of β, ρ(u) can be calculated in terms of elementary functions. But the expression is in general too complex to be useful except for the case β=1/2 where
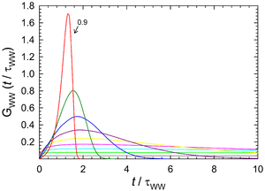
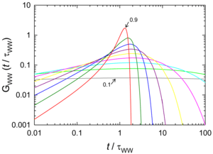
Figure 2 shows the same results plotted in both a linear and a log representation. The curves converge to a Dirac delta function peaked at u=1 as β approaches 1, corresponding to the simple exponential function.
| ||
| Figure 2. Linear and log-log plots of the stretched exponential distribution function vs
for values of the stretching parameter β between 0.1 and 0.9. |
The moments of the original function can be expressed as
- .
The first logarithmic moment of the distribution of simple-exponential relaxation times is
where Eu is the Euler constant.[7]
Fourier Transform
To describe results from spectroscopy or inelastic scattering, the sine or cosine Fourier transform of the stretched exponential is needed. It must be calculated either by numeric integration, or from a series expansion.[8] The series here as well as the one for the distribution function are special cases of the Fox-Wright function.[9] For practical purposes, the Fourier transform may be approximated by the Havriliak-Negami function,[10] though nowadays the numeric computation can be done so efficiently[11] that there is no longer any reason not to use the Kohlrausch-Williams-Watts function in the frequency domain.
History and further applications
As said in the introduction, the stretched exponential was introduced by the German physicist Rudolf Kohlrausch in 1854 to describe the discharge of a capacitor (Leyden jar) that used glass as dielectric medium. The next documented usage is by Friedrich Kohlrausch, son of Rudolf, to describe torsional relaxation. A. Werner used it in 1907 to describe complex luminescence decays; Theodor Förster in 1949 as the fluorescence decay law of electronic energy donors.
Outside condensed matter physics, the stretched exponential has been used to describe the removal rates of small, stray bodies in the solar system,[12] and the diffusion-weighted MRI signal in the brain.[13]
In probability
If the integrated distribution is a stretched exponential, the normalized probability density function is given by,
Note that confusingly some authors[14] have been known to use the name "stretched exponential" to refer to the Weibull distribution.
Modified functions
A modified stretched exponential function
with a slowly t-dependent exponent β has been used for biological survival curves.[15] [16]
References
- ↑ Kohlrausch, R. (1854). "Theorie des elektrischen Rückstandes in der Leidner Flasche". Annalen der Physik und Chemie. 91: 56–82, 179–213..
- ↑ Williams, G. & Watts, D. C. (1970). "Non-Symmetrical Dielectric Relaxation Behavior Arising from a Simple Empirical Decay Function". Transactions of the Faraday Society. 66: 80–85. doi:10.1039/tf9706600080..
- ↑ Donsker, M. D. & Varadhan, S. R. S. (1975). "Asymptotic evaluation of certain Markov process expectations for large time". Comm. Pure Appl. Math. 28: 1–47. doi:10.1002/cpa.3160280102.
- ↑ Takano, H. and Nakanishi, H. and Miyashita, S. (1988). "Stretched exponential decay of the spin-correlation function in the kinetic Ising model below the critical temperature". Phys. Rev. B. 37: 3716–3719. Bibcode:1988PhRvB..37.3716T. doi:10.1103/PhysRevB.37.3716.
- ↑ Gradshteyn, Izrail Solomonovich; Ryzhik, Iosif Moiseevich; Geronimus, Yuri Veniaminovich; Tseytlin, Michail Yulyevich; Jeffrey, Alan (2015) [October 2014]. "3.478.". In Zwillinger, Daniel; Moll, Victor Hugo. Table of Integrals, Series, and Products. Translated by Scripta Technica, Inc. (8 ed.). Academic Press, Inc. p. 372. ISBN 0-12-384933-0. LCCN 2014010276. ISBN 978-0-12-384933-5.
- ↑ Lindsey, C. P. & Patterson, G. D. (1980). "Detailed comparison of the Williams-Watts and Cole-Davidson functions". Journal of Chemical Physics. 73: 3348–3357. Bibcode:1980JChPh..73.3348L. doi:10.1063/1.440530.. For a more recent and general discussion, see Berberan-Santos, M.N., Bodunov, E.N. and Valeur, B. (2005). "Mathematical functions for the analysis of luminescence decays with underlying distributions 1. Kohlrausch decay function (stretched exponential)". Chemical Physics. 315: 171–182. Bibcode:2005CP....315..171B. doi:10.1016/j.chemphys.2005.04.006..
- ↑ Zorn, R. (2002). "Logarithmic moments of relaxation time distributions". Journal of Chemical Physics. 116: 3204–3209. Bibcode:2002JChPh.116.3204Z. doi:10.1063/1.1446035.
- ↑ Dishon et al. 1985.
- ↑ Hilfer, J. (2002). "H-function representations for stretched exponential relaxation and non-Debye susceptibilities in glassy systems". Physical Review E. 65: 061510. doi:10.1103/physreve.65.061510.
- ↑ Alvarez, F., Alegría, A. and Colmenero, J. (1991). "Relationship between the time-domain Kohlrausch-Williams-Watts and frequency-domain Havriliak-Negami relaxation functions". Physical Review B. 44: 7306–7312. Bibcode:1991PhRvB..44.7306A. doi:10.1103/PhysRevB.44.7306.
- ↑ Wuttke, J. (2012). "Laplace–Fourier Transform of the Stretched Exponential Function: Analytic Error Bounds, Double Exponential Transform, and Open-Source Implementation "libkww"". Algorithms. 5: 604–628. doi:10.3390/a5040604.
- ↑ Dobrovolskis, A., Alvarellos, J. and Lissauer, J. (2007). "Lifetimes of small bodies in planetocentric (or heliocentric) orbits". Icarus. 188: 481–505. Bibcode:2007Icar..188..481D. doi:10.1016/j.icarus.2006.11.024.
- ↑ Bennett, K.; et al. (2003). "Characterization of Continuously Distributed Water Diffusion Rates in Cerebral Cortex with a Stretched Exponential Model". Magn. Reson. Med. 50: 727–734. doi:10.1002/mrm.10581.
- ↑ Sornette, D. (2004). Critical Phenomena in Natural Science: Chaos, Fractals, Self-organization, and Disorder..
- ↑ B. M. Weon & J. H. Je (2009). "Theoretical estimation of maximum human lifespan". Biogerontology. 10: 65–71. doi:10.1007/s10522-008-9156-4.
- ↑ B. M. Weon (2016). "Tyrannosaurs as long-lived species". Scientific Reports. 6: 19554. doi:10.1038/srep19554.
External links
- J. Wuttke: libkww C library to compute the Fourier transform of the stretched exponential function

