Sulfonic acid

A sulfonic acid (or sulphonic acid) refers to a member of the class of organosulfur compounds with the general formula R−S(=O)2−OH, where R is an organic alkyl or aryl group and the S(=O)2−OH group a sulfonyl hydroxide.[1] A sulfonic acid can be thought of as sulfuric acid with one hydroxyl group replaced by an organic substituent. The parent compound (with the organic substituent replaced by hydrogen) is the hypothetical compound sulfurous acid. Salts or esters of sulfonic acids are called sulfonates.
Preparation

A sulfonic acid is produced by the process of sulfonation. Usually the sulfonating agent is sulfur trioxide. A particularly large scale application of this method is the production of alkylbenzenesulfonic acids:
- RC6H5 + SO3 → RC6H4SO3H
In this reaction, sulfur trioxide is an electrophile and the arene undergoes electrophilic aromatic substitution.[1]
Thiols can be oxidized to sulfonic acids:
- RSH + 3⁄2 O2 → RSO3H
Certain sulfonic acids, such as perfluorooctanesulfonic acid, are prepared by electrophilic fluorination of preformed sulfonic acids. The net conversion can be represented simplistically:
- C8H17SO3H + 17 F2 → C8F17SO3H + 17 HF
Properties
Sulfonic acids are much stronger acids than the corresponding carboxylic acids. p-Toluenesulfonic acid, with a pKa of −2.8, is about a million times stronger acid than benzoic acid, with a pKa of 4.2. Similarly, methanesulfonic acid, pKa = −1.9, is also about one million times stronger acid than acetic acid. Because of their polarity, sulfonic acids tend to be crystalline solids. They are also usually colourless and nonoxidizing, which is convenient. Because of their high acidity, sulfonic acids are often soluble in water or exhibit detergent-like properties.
The structure of sulfonic acids is illustrated by the prototype, methanesulfonic acid. The sulfonic acid group, RSO2OH features a tetrahedral sulfur centre, meaning that sulfur is at the center of four atoms: three oxygens and one carbon. The overall geometry of the sulfur centre is reminiscent of the shape of sulfuric acid.
- Representative Sulfonic Acids and Sulfonates.

PFOS, a surfactant and a controversial pollutant.
Toluenesulfonic acid, a widely used reagent in organic synthesis.
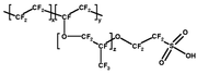
Nafion, a polymeric sulfonic acid useful in fuel cells.
.svg.png)
Sulfonates are key groups in ion exchange resins used in water softening.
Applications
Although both alkyl and aryl sulfonic acids are known, most of the applications are associated with the aromatic derivatives.
Detergents and surfactants
Detergents and surfactants are molecules that combine highly nonpolar and highly polar groups. Traditionally, soaps are the popular surfactants, being derived from fatty acids. Since the mid-20th century, the usage of sulfonic acids has surpassed soap in advanced societies. For example, an estimated 2 billion kilograms of alkylbenzenesulfonates are produced annually for diverse purposes. Lignin sulfonates, produced by sulfonation of lignin are components of drilling fluids and additives in certain kinds of concrete.[2]
Dyes
Many if not most of the anthroquinone dyes are produced or processed via sulfonation.[3] Sulfonic acids tend to bind tightly to proteins and carbohydrates. Most "washable" dyes are sulfonic acids (or have the functional sulfonyl group in them) for this reason. p-Cresidinesulfonic acid is used to make food dyes.
Acid catalysts
Being strong acids, sulfonic acids are also used as catalysts. The simplest examples are methanesulfonic acid, CH3SO2OH and p-toluenesulfonic acid, which are regularly used in organic chemistry as acids that are lipophilic (soluble in organic solvents). Polymeric sulfonic acids are also useful. Dowex resin are sulfonic acid derivatives of polystyrene and is used as catalysts and for ion exchange (water softening).Nafion, a fluorinated polymeric sulfonic acid is a component of proton exchange membranes in fuel cells.[4]
Drugs
Antibacterial drugs sulfa drugs are produced from sulfonic acids.
Flow Batteries
Methanesulfonic acid is used as the supporting electrolyte of the zinc-cerium and lead-acid (methanesulfonate) flow batteries.
Reactions
Esterification

Sulfonic acids can be converted to esters. This class of organic compounds has the general formula R−SO2−OR. Sulfonic esters such as methyl triflate are considered good alkylating agents in organic synthesis. Such sulfonate esters are often prepared by alcoholysis of the sulfonyl chlorides:
- RSO2Cl + R′OH → RSO2OR′ + HCl
Halogenation
Sulfonyl halide groups occur when a sulfonyl functional group is singly bonded to a halogen atom. They have the general formula R−SO2−X where X is a halide, almost invariably chloride. They are produced by chlorination of sulfonic acids using thionyl chloride and related reagents.
Displacement
Although the C−SO3H bond is strong, the (aryl)C−SO3 bond can be cleft by certain nucleophiles. Of historic and continuing significance is the α-sulfonation of anthroquinone followed by displacement of the sulfonate group by other nucleophiles, which cannot be installed directly.[3] An early method for producing phenol involved the base hydrolysis of sodium benzenesulfonate, which can be generated readily from benzene.[5]
- C6H5SO3Na + 2 NaOH → C6H5OH + Na2SO3 + H2O
References
- 1 2 March, Jerry (1992), Advanced Organic Chemistry: Reactions, Mechanisms, and Structure (4th ed.), New York: Wiley, ISBN 0-471-60180-2
- ↑ Kosswig, K. “Surfactants” in Ullmann’s Encyclopedia of Industrial Chemistry 2002, Wiley-VCH, Weinheim. doi:10.1002/14356007.a25_747.
- 1 2 Hans-Samuel Bien, Josef Stawitz, Klaus Wunderlich “Anthraquinone Dyes and Intermediates” Ullmann's Encyclopedia of Industrial Chemistry 2002 Wiley-VCH, Weinhem. doi:10.1002/14356007.a02_355
- ↑ Guido Busca "Acid Catalysts in Industrial Hydrocarbon Chemistry" Chem. Rev. 2007, 107, 5366-5410. doi:10.1021/cr068042e
- ↑ Manfred Weber, Markus Weber, Michael Kleine-Boymann "Phenol" in Ullmann's Encyclopedia of Industrial Chemistry 2004, Wiley-VCH. doi:10.1002/14356007.a19_299.pub2.
Other reading
- J.A. Titus, R. Haugland, S.O. Sharrow and D.M. Segal, Texas red, a hydrophilic, red-emitting fluorophore for use with fluorescein in dual parameter flow microfluorometric and fluorescence microscopic studies. J. Immunol. Methods 50 (1982), pp. 193–204. doi:10.1016/0022-1759(82)90225-3 PMID 6806389
- C. Lefevre, H.C. Kang, R.P. Haugland, N. Malekzadeh, S. Arttamangkul, and R. P. Haugland, Texas Red-X and Rhodamine Red-X, New Derivatives of Sulforhodamine 101 and Lissamine Rhodamine B with Improved Labeling and Fluorescence Properties, Bioconj. Chem. 1996, 7(4):482-9 doi:10.1021/bc960034p