Swern oxidation
| Swern oxidation | |
|---|---|
| Named after | Daniel Swern |
| Reaction type | Organic redox reaction |
| Identifiers | |
| Organic Chemistry Portal | swern-oxidation |
| RSC ontology ID | RXNO:0000154 |
| | |
The Swern oxidation, named after Daniel Swern, is a chemical reaction whereby a primary or secondary alcohol is oxidized to an aldehyde or ketone using oxalyl chloride, dimethyl sulfoxide (DMSO) and an organic base, such as triethylamine.[1][2][3] The reaction is known for its mild character and wide tolerance of functional groups.[4][5][6][7]

The by-products are dimethyl sulfide (Me2S), carbon monoxide (CO), carbon dioxide (CO2) and — when triethylamine is used as base — triethylammonium chloride (Et3NHCl). Two of the by-products, dimethyl sulfide and carbon monoxide, are very toxic volatile compounds, so the reaction and the work-up needs to be performed in a fume hood. Dimethyl sulfide is a volatile liquid (B.P. 37 °C) with an extremely unpleasant odour.
Mechanism
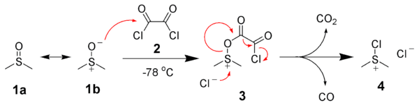
The first step of the Swern oxidation is the low-temperature reaction of dimethyl sulfoxide (DMSO), 1a, formally as resonance contributor 1b, with oxalyl chloride, 2. The first intermediate, 3, quickly decomposes giving off CO2 and CO and producing chloro(dimethyl)sulfonium chloride, 4.

After addition of the alcohol 5, the chloro(dimethyl)sulfonium chloride 4 reacts with the alcohol to give the key alkoxysulfonium ion intermediate, 6. The addition of at least 2 equivalents of base — typically triethylamine — will deprotonate the alkoxysulfonium ion to give the sulfur ylide 7. In a five-membered ring transition state, the sulfur ylide 7 decomposes to give dimethyl sulfide and the desired ketone (or aldehyde) 8.

Variations
When using oxalyl chloride as the dehydration agent, the reaction must be kept colder than −60 °C to avoid side reactions. With cyanuric chloride[11] or trifluoroacetic anhydride instead of oxalyl chloride, the reaction can be warmed to −30 °C without side reactions. Other methods for the activation of DMSO to initiate the formation of the key intermediate 6 are the use of carbodiimides (Pfitzner–Moffatt oxidation) and pyridine-sulfur trioxide complex (Parikh-Doering oxidation). The intermediate 4 can also be prepared from dimethyl sulfide and N-chlorosuccinimide (the Corey-Kim oxidation).
In some cases, the use of triethylamine as the base can lead to epimerisation at the carbon alpha to the newly formed carbonyl. Using the bulkier base diisopropylethylamine (iPr2NEt, Hünig's base) can mitigate this side reaction.
Considerations
Dimethyl sulfide, a byproduct of the Swern oxidation, is one of the most foul odors known in organic chemistry. Human olfactory glands can detect this compound in concentrations as low as 0.02 to 0.1 parts per million.[12] A simple remedy for this problem is to rinse used glassware with bleach (usually containing sodium hypochlorite), which will oxidize the dimethyl sulfide, eliminating the smell.
The reaction conditions allow oxidation of acid-sensitive compounds, which might decompose under the acidic conditions of a traditional method such as Jones oxidation. For example, in Thompson & Heathcock's synthesis of the sesquiterpene isovelleral,[13] the final step uses the Swern protocol, avoiding rearrangement of the acid-sensitive cyclopropanemethanol moiety.

See also
References
- ↑ Omura, K.; Swern, D. (1978). "Oxidation of alcohols by "activated" dimethyl sulfoxide. A preparative, steric and mechanistic study". Tetrahedron. 34 (11): 1651. doi:10.1016/0040-4020(78)80197-5.
- ↑ Mancuso, A. J.; Brownfain, D. S.; Swern, D. (1979). "Structure of the dimethyl sulfoxide-oxalyl chloride reaction product. Oxidation of heteroaromatic and diverse alcohols to carbonyl compounds". J. Org. Chem. 44 (23): 4148–4150. doi:10.1021/jo01337a028.
- ↑ Mancuso, A. J.; Huang, S.-L.; Swern, D. (1978). "Oxidation of long-chain and related alcohols to carbonyls by dimethyl sulfoxide "activated" by oxalyl chloride". J. Org. Chem. 43 (12): 2480–2482. doi:10.1021/jo00406a041.
- ↑ Dondoni, A.; Perrone, D. (2004). "Synthesis of 1,1-Dimethyl Ethyl-(S)-4-formyl-2,2-dimethyl-3-oxazolidinecarboxylate by Oxidation of the Alcohol". Org. Synth.; Coll. Vol., 10, p. 320
- ↑ Bishop, R. (1998). "9-Thiabicyclo[3.3.1]nonane-2,6-dione". Org. Synth.; Coll. Vol., 9, p. 692
- ↑ Leopold, E. J. (1990). "Selective hydroboration of a 1,3,7-triene: Homogeraniol". Org. Synth.; Coll. Vol., 7, p. 258
- ↑ Tojo, G.; Fernández, M. (2006). Oxidation of alcohols to aldehydes and ketones: A guide to current common practice. Springer. ISBN 0-387-23607-4.
- ↑ Mancuso, A. J.; Swern, D. (1981). "Activated dimethyl sulfoxide: Useful reagents for synthesis". Synthesis (Review). 1981 (03): 165–185. doi:10.1055/s-1981-29377.
- ↑ Tidwell, T. T. (1990). "Oxidation of alcohols to carbonyl compounds via alkoxysulfonium ylides: The Moffatt, Swern, and related oxidations". Org. React. (Review). 39: 297–572. doi:10.1002/0471264180.or039.03.
- ↑ Tidwell, T. T. (1990). "Oxidation of alcohols by activated dimethyl sulfoxide and related reactions: An update". Synthesis (Review). 1990 (10): 857–870. doi:10.1055/s-1990-27036.
- ↑ http://pubs.acs.org/doi/abs/10.1021/jo015935s De Luca, L.; Giacomelli, G.; Procheddu, A. J. Org. Chem. 2001, 7907.
- ↑ Morton, T. H. (2000). "Archiving Odors". In Bhushan, N.; Rosenfeld, S. Of Molecules and Mind. Oxford: Oxford University Press. pp. 205–216.
- ↑ Thompson, S. K.; Heathcock, C. H. (1992). "Total synthesis of some marasmane and lactarane sesquiterpenes". J. Org. Chem. 57 (22): 5979–5989. doi:10.1021/jo00048a036.