UV filter


UV filters are individual compounds or mixtures to prevent ultraviolet (UV) light from getting through. UV filters are used in sunscreens to protect skin or in photography to reduce the level of ultraviolet light that strikes the recording medium.
Background
Historically, photographic films were mostly sensitive to UV light, which caused haziness or fogginess, and in color films a bluish hue. Therefore, as a standard, a UV (blocking) filter was used, transparent to visible light while filtering out shorter ultraviolet wavelengths. However, newer photographic film and digital cameras are highly insensitive to UV wavelengths. UV filters are sometimes referred to as L37 or L39 filters, depending on the wavelengths of light that they filter out; an L37 filter removes ultraviolet light with a wavelength shorter than 370 nm, whereas an L39 filter eliminates light with a wavelength shorter than 390 nm.
Applications in printing and photography
UV filters span the color spectrum and are used for a wide variety of applications. Ortho Red and Deep Ortho Red lights are commonly used in diffusion transfer, typesetting films/paper other applications dealing with orthochromatic materials. Yellow Gold, Yellow, Lithostar Yellow and Fuji Yellow filters or safelights provide safe workspaces for contact proofing applications like screen printing and platemaking. Pan Green, Infrared Green and Dark Green filters or safelights are commonly used in scanning applications, work with panchromatic film and papers and x-rays.[1]
Many photographers and cinematographers still use UV filters as a protection for their lenses' glass and coating, due to their low cost and lack of effect on the exposure of the shot. However, UV filters (in particular filters lacking optical coating) may introduce lens flare and have an adverse impact on contrast and sharpness, especially when a strong light source is present.[2]
However, in photography, the term "UV filter" can be also be misused as a filter that passes UV light while blocking other wavelengths in the light spectrum, in the same way the term "IR filter" is also sometimes misused. The correct names for such filters though, are "UV pass filter" and "IR pass filter". This is a very specialized area in photography.
Applications in personal care products
Exposure to UV radiation expose humans to various risks, including skin diseases such as sunburns, photo-aging and skin cancers. UV radiation can be classified as UVA (320-400 nm), UVB (290-320 nm) and UVC (200-280 nm ). Ultraviolet absorbing compounds are the main ingredients of sunscreen products and other personal care products e.g. lipsticks, shampoos, hair sprays, body washes, toilet soaps, and insect repellents, because they can prevent polymer degradation or pigmentation.[3]
These chemical filters are generally used in combination because no single active agent, used at levels currently permitted by legislation,would provide sufficient protection against UV.[3] They protect humans from the serious effects of the UV radiation by absorbing, reflecting or scattering it.[4] The reflection and scattering effect are done by the inorganic UV filters, they are also named as the physical UV filters titaniumdioxide (TiO2) and zinc oxide (ZnO). However, the absorbing effect is accomplished by the organic UV filters which are known as chemical UV filters( mainly UVB)[5]
Examples of Organic UV filters
| Benzophenones | Triazines | Cinnamates |
|---|---|---|
| Benzophenone-3 (BP3) | Ethylhexyltriazone (OT) | Ethylhexyl methoxycinnamate (OMC) |
| Benzophenone-4 (BP4) | Diethylhexyl butamido triazone (DBT) | Isoamyl p-methoxycinnamate (IMC) = amiloxate |
| Salicylates | Bis-ethylhexyloxyphenol methoxyphenyl triazine (EMT) | Camphor derivatives |
| Homosalate (HMS) | Benzotriazoles | Terephtalydene dicamphor sulfonic acid (PDSA) |
| 2-ethylhexyl salicylate (EHS) | Drometrizole trisiloxane (DRT) | 3-benzylidene camphor (3BC) |
| P-Aminobenzoic acid and derivatives | Methylene bis-benzotriazolyl tetramethylbutylpheno
(biscotrizole) (MBP) |
Benzylidene camphor sulfonic acid (BCSA) |
| Ethylhexyl dimethyl PABA (OD-PABA) | Dybenzoyl methane derivatives | 4-methylbenzylidene camphor (4-MBC) |
| 4-p-aminobenzoic acid (PABA) | Butyl methoxydibenzoyl methane (BM-DBM) | Polyacrylamidomethyl benzylidene camphor (PBC) |
| Benzimidazole derivatives | Camphor benzalkonium methosulfate (CBM) | |
| Phenylbenzimidazole sulfonic acid (PMDSA) | ||
| Disodium phenyl dibenzimidazole tetrasulfonate
(bisdisulizole disodium) |
Environmental aspects
UV filters are being used increasingly due to the growing concern about the UV radiation and the skin cancer especially after the ozone depletion.[4] The levels of certain UV-filters in sunscreens vary from 0.5 to 10%, sometimes reaching 25%. UV-filters.[6] They are released into the environment either directly or indirectly.They enter the environment directly through bathing activities in oceans, rivers and lakes or through industrial waste water discharge. While the indirect way involves domestic water discharge during showering, bathing or urine excretion or through waste water treatment.The waste water treatment plants (WWTP) are not efficient dealing with emerging contaminants.[6] Therefore,several UV filters have been detected at ppb or ppt levels in surfacewater[7] and wastewater,[8] with maximum concentrations in summer time. They are lipophilic, so they tend to accumulate in the aquatic environment’s soils and sediments as well as in the food chain.Several studies have actually shown the presence of UV filters in aquatic organisms: the 4-methyl-benzylidenecamphorhas been detected in the muscle tissue of trout in Swiss and German waters,[9] while traces of ethylhexylmethoxy cinnamate and octocrylene have been found in shellfish in the Mediterranean and Atlantic coasts of France.[10] Furthermore, eighteen organic sunscreens were found in sediments of Japanese rivers and lakes, at concentrations ranging from 2 to about 3000 ng/g.[11] The accumulation of organic UV filters in living organisms is of major concern because some of them (and their metabolites) can act as endocrine disruptors both in vitro and in vivo .[12] In addition, Goksøyr et al.(2009) reported concentrations of organic UV-filters in openwaters of the Pacific Ocean, providing evidence of the persistence and wide dispersion of these components in the marine environment.[13]
Their continuous release to the environment has prompted them to be considered as a new class of pollutants. UV-filters are not always stable under the environmental conditions.Water in the natural reservoirs is always subjected to the sun irradiation, while swimming-pool water is required to be disinfected by chlorination, bromination, ozonation, or UV-irradiation. They can undergo degradation and transformation to more toxic products e.g. Avobenzone undergo transformation in presence of chlorinated disinfection products and UV radiation to substituted chlorinated phenols and acetophenones which are known for their toxicity.[6]
It has been demonstrated that under UV radiation some organic UV filters(e.g. BP-3, octocrylene (OCR), OMC, phenylbenzimidazole sulphonic acid (PBS), PABA, etc.) can generate reactive Oxygen Species (ROS) (OH, H2O2)in both, over the skin and in aqueous solution.The concentration of H2O2 can reach 270 nM/day in waters of Mediterranean beach as a result of Sunscreens.This oxidizing specie can damage lipids, proteins and DNA and it can generate high stress levels in marine organisms . Other studies have demonstrated that inorganic UV-filters (i.e. TiO2) can also generate ROS,which is toxic for the marine phytoplankton .The toxicity of nano-TiO2 is produced by its photochemical properties under solar radiation, that depend on the radiation intensity, the crystalline structure and the concentration of the nanoparticles. Even though nanoparticles are usually covered with an inert coating layer to avoid its photoreactivity, this layer is dissolved in aquatic environments after being released from sunscreens.[13]
Mechanisms of transformation

Photolysis
It is sunlight induced photochemical process. It is the main abiotic route for transformation of UV filters. Photolysis dissociates the organic filters into free radicals.
Photolysis can be direct or indirect. The direct way occurs when the chromophore of the organic filters absorb sunlight at certain wavelengths. The indirect pathway occurs in the presence of a photo-sensitizer. Dissolved organic matter (DOM) in the surface waters act as the photo-sensitizers and produce reactive photooxidants as hydroxyl radicals, peroxyl radicals and singlet oxygen.
Sayre et al. showed that the photolysis of sunscreen products is more complicated than the behavior of individual UV filters as shown by this example.In presence of other UV filter,Benzotriazole, and humic acids, Benzophenone -3 degradation was observed through the loss of hydroxyl and benzoyl functional groups resulting in the formation of 2,4 dimethyl anisole.[4]

Photoisomerization
Photoisomerization can result in products that absorb less UV light than parent compound.[14] This was evidenced by cinnamates, salicylates, benzylidine camphorand dibenzoylmethane derivatives.Octyl methoxycinnamate (OMC) can undergo photoisomerization, photodegradation and photodimerization to obtain several dimer and cyclodimers isomers
Disinfection by-product
Swimming pool water is usually disinfected by chlorination, bromination, ozonation or UV radiation. Up on the presence of some UV filters as Avobenzone in the swimming pool water transformation products are produced as a result of the interaction between Avobenzone and the active chlorine and UV radiation[6]
Fate of some Organic UV filters
Benzophenones

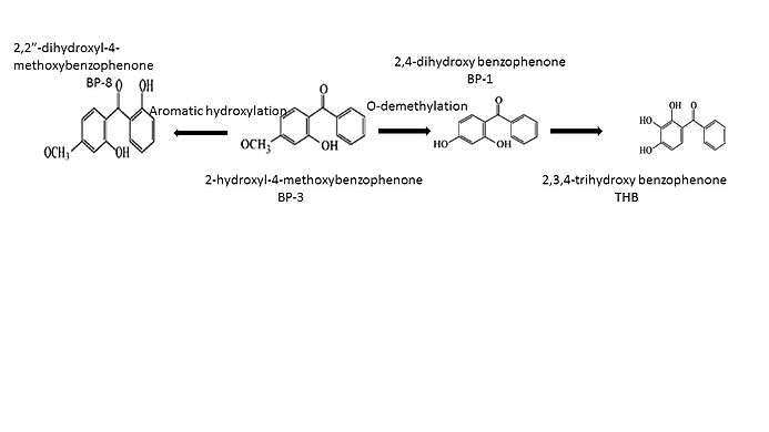
Benzophenones (BPs) are widely used in UV filters, fragrance enhancers,and plastic additives.The major sources of BP-3 are reported to be human recreational activities and wastewater treatment plant (WWTP) effluents. The anionic forms of both BP-3 and 4-OH-BP3 can undergo direct photodegradation. The photolytic rates of both compounds in natural waters are faster as compared to those in pure water. Radical scavenging experiments revealed that triplet-excited dissolved organic matter (3DOM*) was responsible for the indirect photodegradation of BP-3 and 4-OH-BP3 in seawater, whereas in freshwater, the indirect photodegradation of these two compounds was attributed to Dissolved Organic Matter and OH radical.[15]
P-aminobenzoic acid (PABA)

p-amino benzoic acid is one of the earliest UV filters to be used in sunscreens 1943.It was used in concentrations up to 5%.It was discovered by 1982 that PABA increases the formation of a particular DNA defect in human cells. The aquatic environment have been contaminated by PABA from sunscreens.The photochemical fate of PABA may be impacted by water constituents, e.g., NO3−, dissolved organic matter (DOM), and HCO3-.[16] PABA undergoes both direct and indirect photolysis in the solution with the presence of NO3. Direct photolysis counts for 25% of the degradation of PABA and considered secondary pathway.On the other hand, indirect photolysis was the dominant pathway.
Zhou and Mopper showed that nitrate enhanced the photodegradation of PABA by factor of 2. However, in the presence of free radical scavengers the photodegradation of PABA decreased i.e. carbonate forms and natural organic matter (NOM).It was proposed that the indirect photolysis of PABA was mainly due to the NO3 photolysis product •OH.
Bicarbonate anion is abundant in water.Bicarbonate caused 10% of the •OH scavenging. The reaction between the bicarbonate and the •OH yields carbonate radical •CO3. Carbonate radical is less reactive than •OH.In natural waters the radical •CO3 can reach a higher steady-state concentration than •OH because of its lower reactivity.The enhancement of PABA photolysis by bicarbonate is due to carbonate radical.[16]
Water-soluble NOM is composed of organic acids. these organic acids are mainly humic substances, which can be categorized into fulvic and humic acid fraction. NOM favors he indirect photolysis of PABA through absorbing the sunlight and weaking its intensity.
Two reactions can take place during the degradation of PABA.in presence of nitrate in water as shown in the figure .Three of the four products contain phenolic groups and may thus be estrogenic. So the hazardous byproducts generating during the PABA photoreaction should be concerned for its estrogenicity.
4-tert-butyl-4’-methoxydibenzoylmethane (avobenzone)

4-tert-butyl-4’-methoxydibenzoylmethane, known as avobenzone belong to belonging to dibenzoylmethanes. it is one of the most UVA (400-320 nm) filters that are used in sunscreens formulations.it is sold under the trade names Parsol 1789 or Eusolex 9020. Avobenzone exists in two tautomeric forms: enol and keto ones.In sunscreen formulations, avobenzone exists predominantly in the enol form, which has a maximum absorption at wavelengths ranging from 350 to 365 nm depending on the solvent used. The double bond of the enolic form was shown to be more reactive in conditions of aquatic chlorination, than the aromatic ring.In chlorinated aquatic environment Avobenzone undergoes transformation to two corresponding aldehydes and acids as shown in the figure. Both aldehydes are formed as a result of CO-CH2 bond and because they are less stable in the oxidative conditions they easily transform into the corresponding acids.
Chlorinated acetophenone derivatives are also formed due to the cleavage of the same CO-CH2 bond. Chlorinated acetophenone derivatives are tear gases, trigger dermatitis and some other health problems.It was reported that chlorination of the original avobenzone into the aromatic ring position is less possible. The cleavage of CO-Ar bond brings to formation of 4-chloroanisole.[6]

Ethylhexyl methoxycinnamate (EHMC)
Ethylhexyl methoxy cinnamate (EHMC) is one of the most famous UVB filters that is used worldwide.it is known as Eusolex 2292 and Uvinul MC80. it is included in the so-called High Production Volume Chemicals (HPVC) list that includes chemicals produced or imported in the EU at a rate of more than 1000 tons per year.The life time of the EHMC was predicted to be hours to few days.EHMC is well tolerated by the skin, it has some side effects including its ability to produce reactive oxygen species (ROS) and to penetrate in the human skin after exposure to UV light .EHMC has also been found in shellfish, fish and cormorants at ng/g levels, which suggests that it can be accumulated in the food chain.[17] EHMC has also proved responsible for coral bleaching by promoting viral infections (Danovaro et al., 2008). From the toxicological point of view, EHMC has estrogenic properties both in vitro and in vivo . For instance, exposure this compound caused the increase of the weight of the uterus in rats. Prenatal exposure to EHMC can affect both the reproductive and neurological development in the offspring of rats, which can be a cause for concern because humans are routinely exposed to this compound through the use of sunscreens and other cosmetics.
The main transformation pathway for EHMC is photolysis. Direct photolysis represents the dominant transformation pathway. on the other hand, the indirect photolysis due to •OH is negligible and due to dissolved organic matter will be a secondary route. four transformation products were detected for EHMC upon exposure to UV radiation.4-methoxybenzaldehyde (MOBA)and 4-methoxycinnamic acid are two transformation products of EHMC via dealkylation.The intermediate MOBA is more toxic than EHMC towards the bacteria.
Environmental impact of some UV filters
Coral bleaching
_with_signs_of_bleaching_or_crown-of-thorns_starfish_damage.jpg)
The global release of sunscreens in areas harboring coral reefs can be roughly estimated from their average daily use and the number of tourists. An average dose application of 2 mg/cm2 of sunscreen (dose suggested by the U.S. FDA) for a full body surface of 1.0 m2 results in an average usage of 20 g per application.[18] Assuming the tourists apply sunscreen twice/day and the average vacation period is 5 days, this led to rough estimate of 78 million tourist /year in coral reef areas. Based on this calculation and on annual production of UV filters, between 16,000 and 25,000 tons of sunscreens are expected to be used in tropical countries. It is estimated that at least 25% of the amount applied is washed off during swimming and bathing, accounting for a potential release of 4,000–6,000 tons/year in reef areas. it is estimated that up to 10% of the world reefs is potentially threatened by sun screen induced coral bleaching.
Experiments showed that the addition of even small quantities of sunscreens result in the production of large amounts of coral mucous with in 18-48hr and bleaching of hard corals with in 96 hrs.among the UV filters that result in coral bleaching according to studies are :ethylhexylmethoxycinnamate, benzophenone-3 and 4-methylbenzylidene camphor even in very low concentrations.bleaching was favored by higher temperature which act as synergistic factor.experiments showed that the coral bleaching was not dose dependent, so it can occur up on exposure to very small amount.
See also
References
- ↑ "Fluorescent Safety Lamp Selection Chart - Encapsulite".
- ↑ Thom Hogan. "Filtration 101". bythom.com. Retrieved 13 October 2009.
- 1 2 Kim, Sujin; Choi, Kyungho (2014-09-01). "Occurrences, toxicities, and ecological risks of benzophenone-3, a common component of organic sunscreen products: A mini-review". Environment International. 70: 143–157. doi:10.1016/j.envint.2014.05.015. PMID 24934855.
- 1 2 3 Díaz-Cruz, M. Silvia; Barceló, Damià (2009-06-01). "Chemical analysis and ecotoxicological effects of organic UV-absorbing compounds in aquatic ecosystems". TrAC Trends in Analytical Chemistry. Applying combinations of chemical analysis and biological effects to environmental and food samples - II. 28 (6): 708–717. doi:10.1016/j.trac.2009.03.010.
- ↑ Silvia Díaz-Cruz, M.; Llorca, Marta; Barceló, Damià; Barceló, Damià (2008-11-01). "Organic UV filters and their photodegradates, metabolites and disinfection by-products in the aquatic environment". TrAC Trends in Analytical Chemistry. Advanced MS Analysis of Metabolites and Degradation Products - I. 27 (10): 873–887. doi:10.1016/j.trac.2008.08.012.
- 1 2 3 4 5 Trebše, Polonca; Polyakova, Olga V.; Baranova, Maria; Kralj, Mojca Bavcon; Dolenc, Darko; Sarakha, Mohamed; Kutin, Alexander; Lebedev, Albert T. (2016-09-15). "Transformation of avobenzone in conditions of aquatic chlorination and UV-irradiation". Water Research. 101: 95–102. doi:10.1016/j.watres.2016.05.067. PMID 27258620.
- ↑ Poiger, Thomas; Buser, Hans-Rudolf; Balmer, Marianne E.; Bergqvist, Per-Anders; Müller, Markus D. (2004-05-01). "Occurrence of UV filter compounds from sunscreens in surface waters: regional mass balance in two Swiss lakes". Chemosphere. 55 (7): 951–963. doi:10.1016/j.chemosphere.2004.01.012. PMID 15051365.
- ↑ Magi, Emanuele; Scapolla, Carlo; Carro, Marina Di; Rivaro, Paola; Nguyen, Kieu Thi Ngoc (2012-12-21). "Emerging pollutants in aquatic environments: monitoring of UV filters in urban wastewater treatment plants". Anal. Methods. 5 (2): 428–433. doi:10.1039/c2ay26163d. ISSN 1759-9679.
- ↑ Balmer, Marianne E.; Buser, Hans-Rudolf; Müller, Markus D.; Poiger, Thomas (2005-02-01). "Occurrence of Some Organic UV Filters in Wastewater, in Surface Waters, and in Fish from Swiss Lakes". Environmental Science & Technology. 39 (4): 953–962. doi:10.1021/es040055r. ISSN 0013-936X.
- ↑ Bachelot, Morgane; Li, Zhi; Munaron, Dominique; Le Gall, Patrik; Casellas, Claude; Fenet, Hélène; Gomez, Elena (2012-03-15). "Organic UV filter concentrations in marine mussels from French coastal regions". Science of the Total Environment. 420: 273–279. doi:10.1016/j.scitotenv.2011.12.051. PMID 22330425.
- ↑ Kameda, Yutaka; Kimura, Kumiko; Miyazaki, Motonobu (2011-06-01). "Occurrence and profiles of organic sun-blocking agents in surface waters and sediments in Japanese rivers and lakes". Environmental Pollution. 159 (6): 1570–1576. doi:10.1016/j.envpol.2011.02.055. PMID 21429641.
- ↑ Vione, D.; Calza, P.; Galli, F.; Fabbri, D.; Santoro, V.; Medana, C. (2015). "The role of direct photolysis and indirect photochemistry in the environmental fate of ethylhexyl methoxy cinnamate (EHMC) in surface waters". Science of the Total Environment. 537: 58–68. doi:10.1016/j.scitotenv.2015.08.002. PMID 26282740.
- 1 2 Sánchez-Quiles, David; Tovar-Sánchez, Antonio (2015-10-01). "Are sunscreens a new environmental risk associated with coastal tourism?". Environment International. 83: 158–170. doi:10.1016/j.envint.2015.06.007. PMID 26142925.
- ↑ Santos, A. Joel M.; Miranda, Margarida S.; Esteves da Silva, Joaquim C. G. (2012-06-15). "The degradation products of UV filters in aqueous and chlorinated aqueous solutions". Water Research. 46 (10): 3167–3176. doi:10.1016/j.watres.2012.03.057. PMID 22513303.
- ↑ Li, Yingjie; Qiao, Xianliang; Zhou, Chengzhi; Zhang, Ya-nan; Fu, Zhiqiang; Chen, Jingwen (2016-06-01). "Photochemical transformation of sunscreen agent benzophenone-3 and its metabolite in surface freshwater and seawater". Chemosphere. 153: 494–499. doi:10.1016/j.chemosphere.2016.03.080. PMID 27035387.
- 1 2 Mao, Liang; Meng, Cui; Zeng, Chao; Ji, Yuefei; Yang, Xi; Gao, Shixiang (2011-11-15). "The effect of nitrate, bicarbonate and natural organic matter on the degradation of sunscreen agent p-aminobenzoic acid by simulated solar irradiation". Science of the Total Environment. 409 (24): 5376–5381. doi:10.1016/j.scitotenv.2011.09.012. PMID 21975008.
- ↑ Fent, Karl; Zenker, Armin; Rapp, Maja (2010-05-01). "Widespread occurrence of estrogenic UV-filters in aquatic ecosystems in Switzerland". Environmental Pollution. 158 (5): 1817–1824. doi:10.1016/j.envpol.2009.11.005. PMID 20004505.
- ↑ Danovaro, Roberto; Bongiorni, Lucia; Corinaldesi, Cinzia; Giovannelli, Donato; Damiani, Elisabetta; Astolfi, Paola; Greci, Lucedio; Pusceddu, Antonio (1 January 2008). "Sunscreens Cause Coral Bleaching by Promoting Viral Infections". Environmental Health Perspectives. 116 (4): 441–447. JSTOR 40040094. PMID 18414624.
External links
- UV filters test - Description of the results and summary - Lenstip.com
- UV filters test - supplement - Introduction - Lenstip.com