Vilém Klíma
Vilém Klíma (10 April 1906 – 6 October 1985) was a Czech electrical engineer who developed a closed-form expression for the distribution factor of a symmetrical three-phase stator winding.
Vilém Klíma (Wilhelm Kauders) died on 6 October 1985 and in an obituary by Frohne[1] it is mentioned that Klíma's equation for the distribution factor[nb 1] of fractional slot windings is not found in textbooks. Another remark in the obituary is that in some references it is stated that it is not possible to find a closed-form expression for the winding factor of fractional slot windings.
An obituary in German was written by Frohne[1] and one in Czech by Čeřovský.[2]
Introduction
Vilém Klíma was born on 10 April 1906 as Wilhelm Kauders. The reason why Klíma changed his name is related to tragic events that occurred during the Second World War. If one takes a closer look at the references listed in the last paper by Klíma,[3] there is an entry entitled Systematik der Drehstromwicklungen and the author is given as V. Klíma (Kauders). To supply a name between brackets is not typical, and the only paper with this title is written by Wilhelm Kauders.
In the first of his two remarkable papers Klíma[4] explains the systematics of stator windings and the calculation of the winding factors. The aim in this work was to determine the parameters that characterise the air gap mmf of the winding. Also in this paper the induced voltage in the coil sides is already mentioned and represented as a vector. The resultant vector diagram was called the star of coil groups (German: Spulengruppenstern). The adjacent vectors on such a diagram that belong to the same phase is called a phase belt (German: Zone).
Two years later, in the second paper by Klíma,[5] the algebraic methods developed in the first paper were visualised by means of Tingley's diagram. The latter could be referred to as a linear representation of the now called star of slots (German: Nutenstern). The star of slots is constructed using the electrical angle between two adjacent slots. Computer technology as we know it today was not available at the time and the use of graph paper certainly was common. Furthermore, such graphical methods definitely contributed to the subject of stator windings.
Klíma's life in the ghetto Theresienstadt
Little is known about Klíma. However, his name appear in a list of lecturers[wl 1] in the ghetto of Terezín.[nb 2] The entry details for Kauders are as follows:
| Klíma's entry in the list of lecturers in the ghetto Theresienstadt | |
|---|---|
| Name and Title | Kauders (Klima) (Vilem) Dr. |
| Birth Date | 10.04.1906 |
| Deported to Terezin | 04.12.41 |
| Deported from | Prague |
| Deported from Terezin | 01.11.44 |
| Survived in | Grossrosen[nb 3] |
Klíma is also mentioned in the book[wl 2] University Over The Abyss: The story behind 520 lecturers and 2,430 lectures in KZ Theresienstadt 1942-1944 by Makarova.[6] A very interesting detail from the book is that Dr. Goldschmied and Dr. Kauders were secretly taken to Germany to improve the performance of German radar.[nb 4] A witness, Gerda Haas,[wl 3] remembered the following:
One day, the two were ordered to prepare themselves to leave Terezin. Their suitcases must have been cleaned of any signs and numbers, yellow stars were torn off. They were told that they would be employed for a large industrial concern in Germany. Their dependents stayed in Terezin. Soon, Kauders sent a postcard saying that he was in the [concentration camp] Rosenberg (or -burg), where he was freezing terribly and where he worked on his books all day.
The first book by Klíma entitled Trojfázové komutátorové derivační motory : jejich teorie a praxe[wl 4] was published in 1962. Then in 1975, together with H. Jordan and K.P. Kovács, Vilém Klíma published a book on induction machines entitled Asynchronmaschinen.[7]
A short biography of Vilém Klíma
Vilém Klíma finished his studies with distinction in 1928 at the German technical University in Prague. He then started to work for the company ČKD (Českomoravská Kolben-Daněk) in Prague. In 1932 Vilém Klíma received his Dr.-Ing. for his dissertation entitled Systematik der Drehstromwicklungen.
After the Munich Agreement in September 1938 the Czech boundary territory was occupied by the German army and later in March 1939 the whole of Czechoslovakia was occupied. Then, in November 1941, Vilém Klíma was ordered to leave for the concentration camp at Terezín, which was a holding camp for Jews from central and southern Europe, and was regularly cleared of its overcrowded population by transports to death camps such as Auschwitz. During April 1945 Vilém Klíma survived the so-called death march (a miracle at that time). Because of the hated German occupations of Czechoslovakia, Klíma changed his name from Wilhelm Kauders to Vilém Klíma. At the time it was a frequent decision of Czech families with German names to change their names to Czech-sounding names.
After the war Klíma started a research centre, Centre for Electric Machines, in Brno where he was the first director until 1951. In 1958 Klíma was awarded the title of Dr.Scientium technicarum for his thesis entitled Theorie der Selbstserregung von Drehstromnebenschluß-kommutatormotoren mit Kondensatoren im Läuferkreis und ihre Verhütung. Until his retirement in 1973 he was part of the research centre in Běchovice near Prague. Vilém Klíma died on 6 October 1985 in Prague.
Klíma's closed expression
Introductory remarks
Until now, the literature that refers to Klíma's closed expression is very limited. Authors that refer to the closed expression are Kremser[8] Brune[9] and Germishuizen.[10] Additionally, Kremser and Brune are all related to the university of Hanover where Vilém Klíma regularly held lectures since 1964 as reported by Frohne.
Distribution factor
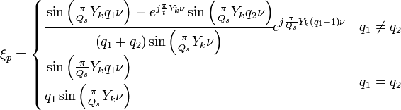
The distribution factor, as summarised by Brune, for all types of m-phase symmetrical fractional slot windings is given as

where

is the commutator pitch. The numbers q1 and q2 depend on whether Qb is even or odd and are calculated as follows:

Notes
- ↑ Also known as the breadth factor.
- ↑ Theresienstadt is often referred to as Terezín.
- ↑ The correct spelling is Gross-Rosen
- ↑ According to Ivan Klíma (Klíma's son), Vilém Klíma was sent together with two other specialists: Mr. Goldschmied and Mr. Kohn to the concentration camp in Grossrosen. Mr. Goldschmied and Klíma stayed only for a few weeks in Gross-Rosen concentration camp. As a result of the evacuation of the camp both of them were sent to KZ Sachsenhausen.
External links
- ↑ The list can be found at http://makarovainit.com/list.htm
- ↑ A summary of the book is given at http://makarovainit.com/first.htm
- ↑ This might be the same Gerda Haas mentioned at http://abacus.bates.edu/muskie-archives/EADFindingAids/MC083.html
- ↑ The book can be found in the online catalogue http://katalog.svkul.cz/eng/baze.htm
References
- 1 2 H. Frohne and H. Seinsch: Systematik der Drehstromwicklungen, ETZ Archiv, 1985, vol. 8, pp. 71-73
- ↑ Z. Čeřovský: Osobnízprávy, Elektrotechnickobzor, 1986, vol. 75, p. 62
- ↑ V. Klíma: On the theorem of the sum of squares of winding factors invariance, ACTA Technica CSAV, 1979, vol. 3, pp. 365-388
- ↑ W. Kauders: Systematik der Drehstromwicklungen, Elektrotechnik und Maschinenbau, 1932, vol. 6, pp. 88-94
- ↑ W. Kauders: Systematik der Drehstromwicklungen II, Elektrotechnik und Maschinenbau, 1934, vol. 8, pp. 85-92
- ↑ E. Makarova, S. Makarov, V. Kuperman: University over the Abyss, Verba Publishers Ltd., 2004
- ↑ H. Jordan, V. Klíma, K. Kovács: Asynchronmashinen, Vieweg, 1975
- ↑ A. Kremser: Theorie der mehsrängigen Bruchlochwicklungen und Berechnung der Zweigströme in Drehfeldmaschinen, VDI Verlag, 1989
- ↑ K. Brune, H. Seinsch, J.Steinbrink: Conduced emission of synchronous generators and its dependence on design features, Electrical Engineering, 2003, vol. 85, pp. 71-81
- ↑ J. Germishuizen: Analysis of interior permanent magnet motors with non-overlapping windings, Stellenbosch University, 2009
|