XyMTeX
ΧyMTeΧ is a macro package for TeX which renders high-quality chemical structure diagrams. Using the typesetting system, the name is styled as XϒMTeX. It was originally written by Shinsaku Fujita (藤田眞作 Fujita Shinsaku). Molecules are defined by TeX markup.
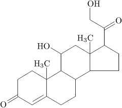
Example
The following code produces the image for corticosterone below.
\documentclass{letter}
\usepackage{epic,carom}
\pagestyle{empty}
\begin{document}
\begin{picture}(1000,500)
\put(0,0){\steroid[d]{3D==O;{{10}}==\lmoiety{H$_{3}$C};{{13}}==\lmoiety{H$_{3}$C};{{11}}==HO}}
\put(684,606){\sixunitv{}{2D==O;1==OH}{cdef}}
\end{picture}
\end{document}
.png)
See also
- PPCHTeX (PPCHTeX)
- Molecule editor
External links
- Shonan Institute of Chemoinformatics and Mathematical Chemistry
- XyMTeX for Drawing Chemical Structures (English) — Download of XyMTeX Version 5.01 (the latest version: 2013-09-01) and its manuals.
- XyMTeX for Drawing Chemical Structures (Japanese) — Download of XyMTeX Version 5.01 (the latest version: 2013-09-01) and its manuals.
- The Comprehensive TeX Archive Network (CTAN)
- The TeX Catalogue OnLine, Entry for XyMTeX, Ctan Edition (Version 4.06)
- WikiTeX now includes support for XyMTeX directly in Wiki articles.
- XyMTeX Google groups page.
- TeX Users Group (TUG)
- The PracTeX Journal
- LaTeX Tools for Life Scientists (BioTeXniques?) — An article that discusses XyMTeX.
- The PracTeX Journal
- mw:Extension:WikiTeX — includes support for XyMTeX directly in MediaWiki
| ||||||||||||||||||||||
This article is issued from Wikipedia - version of the 6/29/2015. The text is available under the Creative Commons Attribution/Share Alike but additional terms may apply for the media files.