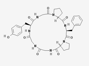
Yunnanin A
![]() | |
| Identifiers | |
|---|---|
| 3D model (Jmol) | Interactive image |
| ChemSpider | 24687587 |
| PubChem | 44584206 |
| |
| |
| Properties | |
| C34H41N7O8 | |
| Molar mass | 675.74 g·mol−1 |
| Except where otherwise noted, data are given for materials in their standard state (at 25 °C [77 °F], 100 kPa). | |
| Infobox references | |
Yunnanin A is a biologically active cyclic peptide.[1]
References
- ↑ Poojary, B. & Belagali, S. L. (2005). "Synthesis, characterization and biological evaluation of cyclic peptides: Viscumamide, yunnanin A and evolidine". Zeitschrift für Naturforschung B. 60 (12): 1313–1320.
This article is issued from Wikipedia - version of the 6/7/2016. The text is available under the Creative Commons Attribution/Share Alike but additional terms may apply for the media files.
